What is the passive electric property of cells and tissues?
The effect of small electric currents of external sources.
Give the formula for Ohm’s Law
U = Potential difference
I = Current
R = Resistance

What happens in an alternating current?
The current direction is changing back and forth
Membranes can behave like… in circuits
Capacitors
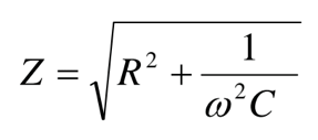
What is resistance in an alternating current circuit?
Impedance
Formula to calculate impedance
w = 2πv

What is the household frequency for electric voltage and current
50Hz
What is the danger of electricity determined by?
Current Intensity
Where in cells is there a potential difference?
Between the Intracellular and extracellular regions.
What causes the potential difference in cell membranes?
Non-uniform distribution of ions.
(Concentration Gradient)
Formula to calculate the electrochemical potential of an ion
R = Gas Constant
T = Temperature
F = Faraday Constant
ψ = Electric Potential

Give the Nernst Equations

Value of 2.3RT/F
60mV
Which two currents compensate eachother in the typical mammilian axon iwht chlorine ions?
Ic Ionic Current due to Concentration differences
I<strong>p</strong> Ionic current due to Potential differences
The action potential propagates along the axon without…
Attenuation