Formula to calculate terminal velocity of a sphere during sedimentation.

Formula to calculate Sedmientation Velocity
ω = Angular Velocity
mg<strong>eff</strong> = weff
The equation to calculate sedimentation velocity show that…
Larger particles move faster
Denser particles move faster
Denser solutions mean the particles move slower
As frictional coefficients increase, the slower the particle will move.
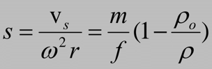
Formula to calculate the Sedimentation Coefficient
Unit: Svedberg (Sb)

Which instruments are used for centrifugation?
Ultracentrifuges
Formula to calculate the frictional coefficient
D = Diffusion constant

Formula to calculate mass through a sedminetation experiment.

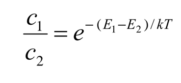
Give the Boltzmann Distribution

Light is a…
Transverse electromagnetic wave
What is frequency?
The number of waves passing a point per second.
What is a period? (T)
The time between two successive wave crests
T =
1/v
Velocity (c) =
λ/T
λ*v
The change in direction of light in water or glass is known as…
Refraction
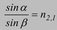
Give Snell’s law

n2, 1 = Relative index of refraction of media 1 and 2

What is total reflection?
Where the angle of refraction is greater than the angle of incidence
No light is refracted into the medium