Give Newton’s Friction law.
What do the symbols mean?

As temperature rises, gases become…
More viscous
Give Poiseuille’s Law
Q = Flow Rate
P = Pressure
r = Radius of tube
η = Fluid viscosity
l = Length of tubing

Give the Parabolic Velocity Profile

Formula to calculate the force needed to maintain flow of a fluid in a tube.

Formula to calculate the power needed to maintain flow of a fluid in a tube.

What is represented in this part of the graph?

Turbulent Flow
What is shown in this half of the graph?

Laminar Flow
What is the Reynolds number used to determine?
If a flow is laminar or turbulent
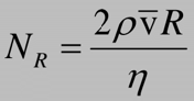
Give the formula to calculate the Reynolds number.

What is defined as laminar and turbulent flow in terms of the Reynolds number values.
NR < 2000: Laminar
NR >3000: Turbulent
NR between 2000 - 3000: Instabil
Which noise is heard when taking blood pressure?
The Korotokoff Noise
Give the formula for flow resistance (With P and Q)

Give the formula to calculate flow resistance of where tubes are connected in parallel.

Give the formula to calculate flow resistance of where tubes are connected in series.

Give Stoke’s law on viscous drag force.
When acting on a sphere of radius R

Give the formula for flow resistance (With area of the tube)

Calculate the tension in the wall of a capillary

What are considered to be Newtonian fluids in the body?
Air and water