What is a wave front?
Surfaces on which the waves at every point are in phase
What is the Huygens-Fresnel Principle
Wave fronts can be considered as a source of secondary spherical wavelets.
The next wave front at a later time is the surface tangent to the secondary wavelets.
What is observed light intensity determined by?
Interference of all the secondary wavelets.
What is diffraction?
The light interference through bending of light through a narrow slit.
What is shown here?

The Diffraction Pattern/ Interference pattern of a narrow slit
Bright central region: Band
Give an effective coherent light source.
Laser
What is shown?

Interference pattern of a circular aperture.
Give Rayleigh’s Criterion for resolution
d = Aperture diameter

A ‘point’ of light is always a…
Diffraction disk
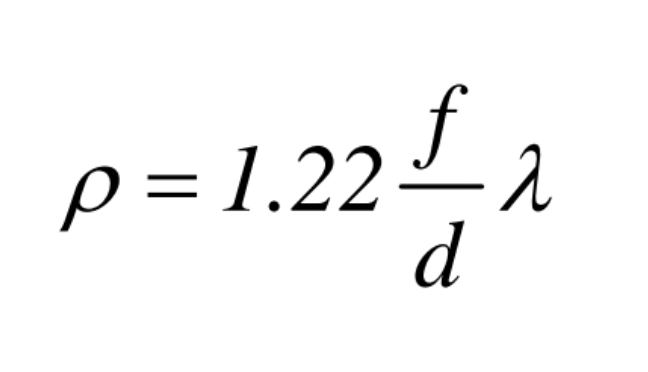
Calculate the radius of the first black diffusion ring of a light point.

According to Abbe, what is the formula to calculate resolution limit?

According to Abbe, what is the formula to calculate resolving power?

What is the formula to calculate resolving power with the numerical aperture of the objective?
n sin u = numerical aperture

What is an immersion microscope?
A drop of oil between the objective and object of higher index of refraction
The resolving power also increases
What is used for UV microscopy? WhY?
Quartz optics
Glass absorbes UV