What is the basis of fibre optics?
Total reflection
Give a medical application of fibre optics
Endoscopy
Formula to calculate the refraction of a prism
α1 = Angle of light entering prism
n = Base of prism
β1 = Angle of light inside the prism
α2 = Angle of light exiting the prism
δ = Smallest angle of defelection
α1 = α2

Dispersion of light can only be explained if…
The index of refraction is different for different wavelenghts
n=n(λ)
An image is considered ‘virtual’ if…
the continuations of the light rays are crossing each other, otherwise, it is real.
What is the simplest image forming device?
Plane Mirror
With a plane mirror, the object distance (d) is equal to the…
Image distance (d’)
What is a lens?
A piece of transparent material that can bend light rays passing through it, forming an image.
Name the straight line through the centre of a lens
The Pricnciple Axis

Converging Lenses

Diverging Lenses
What does a converging lense do?
Bends light towards its axis
So the beam of parallel rays converge to a point.
Give the lensmaker’s equation
R1/2 = Angle light enters lens

Which three light rays can have their path determined without calculation?
The light ray paralell to the axis will pass through the focal point.
The ray going through the focal point will be parallel to the axis
The ray directed to the centre of the lens is undeflected.
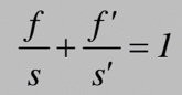
Give the thin lens equation

When the s value is positive, the image is…
real
When S’ is negative, an image is…
Virtual
Formula to caluclate the power of a lens
Unit: Diopters (m-1)

Formula to calcualte the power of several lenses together

Give the 6 cardianl points of a thick lens.
Focal points F, F’
Principal Points P1, P2
Nodal Points N1, N2
Give the generalised form of the thin lens formula which can be used for thick lenses.
