Formula to calculate the wavelength of a particle (De Broglie)
h = Planck’s Constant

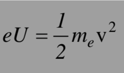
Calculate the initial electric potential energy of an electron (having e electric charge)

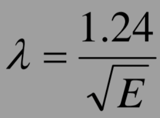
Formula to calculate wavelength of an electron with given energy.

3 differences between light microscope and electron microscope.
Vacuum needed in electron microscope to prevent electron spreading
Magnification of the magnetic lens can be continuously varied
Primary aberrations cannot be corrected as magnetic lenses are always converging.
Where the electron beam penetrates through the sample.
Transmission Electron Microscope
TEM samples should be thinner than…
100nm
How are images formed by scanning electron microscopes?
Backscattered electrons and secondary electrons are knocked out of the sample, giving a 3D image.
What is the photoelectric effect?
Release of electrons from a clean metal when light of proper frequency shines on it.
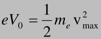
Formula showing the initial kinetic energy leaving the metal plate is equal to zero.

The maximum kinetic energy of emitted electrons depends on…
frequency of light only
For a given frequency and retarding potential, the intensity of the photocurrent is proportional to…
The intensity of light
When does photocurrent start to flow?
Instantaneously once light hits the cathode
What happens at the cut-off frequency?
No electrons are emitted
Calculate the energy of a photon
(Einstein)
What do photons do?
Collide with individual electrons in metals and knock them out, giving their entire energy to the electrons.
Give the formula for the law of energy conservation
W = work of release (from metal)

What is a photoelectron (PM) tube?
Where energy of a single photon is converted to measurable electric current
Used for light intensity measurement/nuclear radion detection
Calculate the energy of a photon with the energy states of an atom

What is Compton scattering?
If a photon collides with a free electron, there is an energy change in the electron.
Scattering is produced by…
Light of any frequency
When is excitation possible?
Only at some well-defined frequencies
What is photoluminescence?
Excitation made by emission light of proper frequency and de-excitation process with light emission.
What are the two types of photoluminescence?
Fluorescence and Phosphorescence
Give the Lambert law
