Name the red area

Blind Spot
Where the optic nerve leaves the eye
What is the Macula (yellow spot)?
Situated on the optical axis, contains the fovea centralis. The area of most acute vision.
Contains densly packed cones only
Rotation of the eye allows…
Objects to be imaged on the fovea centralis
Why is the largest degree of light bending in the cornea?
The cornea has the smallest radius of curvature (0.8mm)
Change in refraction index is largest when light enters the aqueus humour from the air.
What is the purpose of the crystaline lens in the eye?
For fine adjustment of focus on objects at different distances.
What is the ‘far point’?
The most distant point the eye can focus on. Normally infinity
The closest point clearly visible to the eye
0.25m (‘Near Point’)
What is the image distance for the eye?
s’ = 0.020m
What is visual acuity?
The fineness of details discernible by the eye
What is required to distinguish two distincy small objects?
At least one non excited cone must be located between two excited cones.
Visual acuity decreases as…
You move further from the fovea centralis.
The minimum intensity needed to see a flash of light is known as
Threshold intensity
Cones are only active in…
While cones are
The sensation of colour is perceived only in the…
Light adapted eye
Operating at low light intensities, the … do not register colour.
Rods
Give the photo sensitive pigment and peak sensitivities of the:
Red Cone
Green Cone
Blue Cone
Pigment Erythrolabe (575nm)
Pigment Chlorolabe (535nm)
Pigment Cycanolabe (445nm)
Complimentary colours produce…
White light
Normal Vision is known as…
Emmetropia
Short-sightedness is known as…
Myopia
Where the power of the eye it too great
Far-sightedness is known as
Hypermetropia
Condition where the lens of the eye hardens with age and becomes too stiff to accomodate.
Presbyopia
What is astigmatism?
Uneven curvature of the cornea, planes of light can be focused better than others.
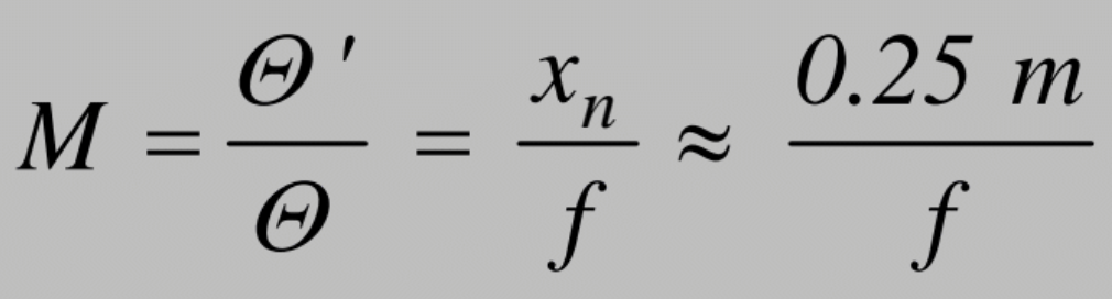
Formula to calculate the angular magnification

Formula to calculate the final overall magnification
