Gaps in Knowledge 1 Flashcards

(18 cards)

1
Q

Given an intuitive explanation of a summable sequence.

A

The sum of the tails of a sequence is very small.

How well did you know this?
1
Not at all
2
3
4
5
Perfectly
2
Q

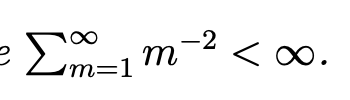
Give an example of a summable sequence.

A
How well did you know this?
1
Not at all
2
3
4
5
Perfectly
3
Q

A simple way to define a summable sequence:

A

A convergent sequence.

How well did you know this?
1
Not at all
2
3
4
5
Perfectly
4
Q

State the relation between continuity and uniform continutiy.

A

Continuity implies uniform continuity.

How well did you know this?
1
Not at all
2
3
4
5
Perfectly
5
Q

State the definition of continuity.

A
How well did you know this?
1
Not at all
2
3
4
5
Perfectly
6
Q

State the definition of uniform continutiy.

A
How well did you know this?
1
Not at all
2
3
4
5
Perfectly
7
Q

M in least squares.

A
How well did you know this?
1
Not at all
2
3
4
5
Perfectly
8
Q

State Jensen’s inequality for concave, linear and convex functions.

A
How well did you know this?
1
Not at all
2
3
4
5
Perfectly
9
Q

State the triangle inequality.

A
How well did you know this?
1
Not at all
2
3
4
5
Perfectly
10
Q

State the law of iterated expectations.

A
How well did you know this?
1
Not at all
2
3
4
5
Perfectly
11
Q

Definition and 4 properties of trace

A
How well did you know this?
1
Not at all
2
3
4
5
Perfectly
12
Q

Define the covariance matrix R_{i,j}

A
How well did you know this?
1
Not at all
2
3
4
5
Perfectly
13
Q

Write the formula for the norm of a vector.

A
How well did you know this?
1
Not at all
2
3
4
5
Perfectly
14
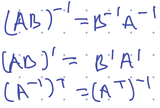
Q

Give the formulas for 1. AB inverse 2. AB transpose and 3. A inverse transpose

A
How well did you know this?
1
Not at all
2
3
4
5
Perfectly
15
Q

Inverse of a matrix

A
How well did you know this?
1
Not at all
2
3
4
5
Perfectly
16
Q

A note from lecture 3

17
Q

Sum of powers of integers and Faulhaber’s formula: Define the following;

18
Q

Write the formula for the sum of geometric series, as expressed by: