Lecture 9 Flashcards

(9 cards)

1
Q

State the theorem regarding the AN of an MA(infinity) process.

A
How well did you know this?
1
Not at all
2
3
4
5
Perfectly
2
Q

State and prove the theorem regarding the AN of an MA(infinity) process.

A
How well did you know this?
1
Not at all
2
3
4
5
Perfectly
3
Q

State the theorem regarding the Asymptotic Normality of weakly dependent time series

A
How well did you know this?
1
Not at all
2
3
4
5
Perfectly
4
Q

State intuitively the condition in the theorem regarding the Asymptotic Normality of weakly dependent time series

A
How well did you know this?
1
Not at all
2
3
4
5
Perfectly
5
Q

In words, argue the sketch of the proof of the theorem regarding the Asymptotic Normality of weakly dependent time series.

A
How well did you know this?
1
Not at all
2
3
4
5
Perfectly
6
Q

As before, write the sequence of interest in terms of the sum of two sequences and explicitly define the two sequences, and list any other critical assumptions.

A
How well did you know this?
1
Not at all
2
3
4
5
Perfectly
7
Q

Show why we can assume that the second moment of the second term is o(1) in the blocking split.

A
How well did you know this?
1
Not at all
2
3
4
5
Perfectly
8
Q

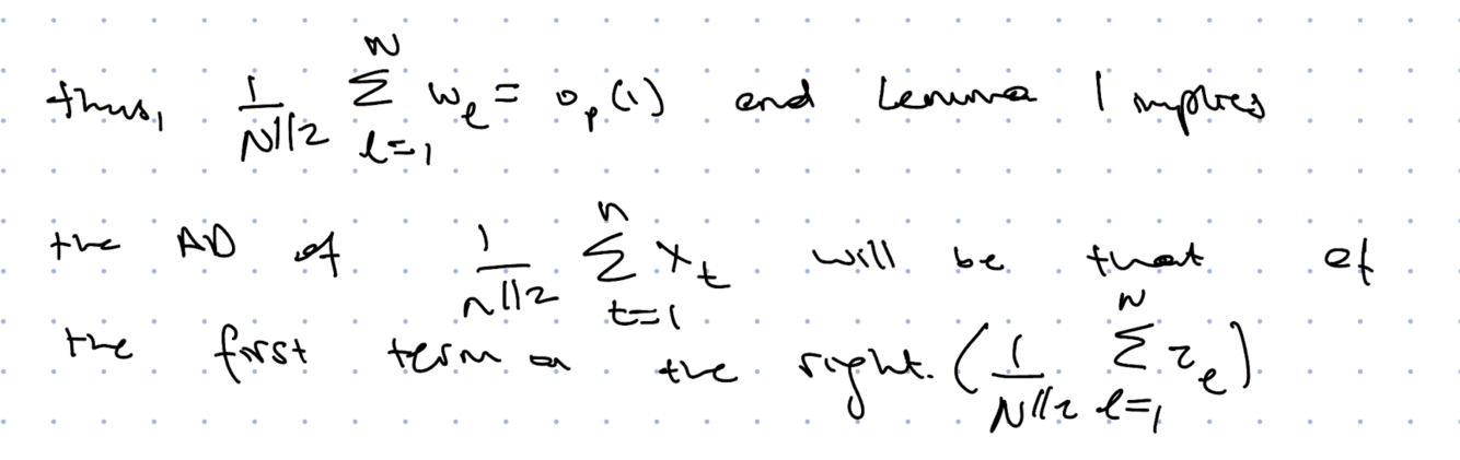
Use Lemma 1 to argue why we’re interested in the AN of the first term in the theorem for weakly dependent time series.

A
How well did you know this?
1
Not at all
2
3
4
5
Perfectly
9
Q

In the theorem for weakly dependent time series, prove that the first term converges in distribution to a normal RV.

A
How well did you know this?
1
Not at all
2
3
4
5
Perfectly