Lecture 2 Flashcards

(26 cards)

1
Q

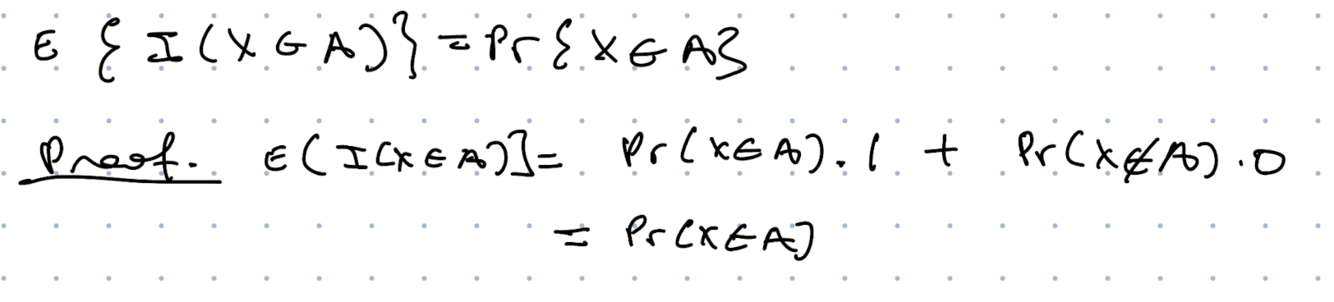
Give the definition of an indicator function.

A
How well did you know this?
1
Not at all
2
3
4
5
Perfectly
2
Q

Derive the expectation of an indicator function.

A
How well did you know this?
1
Not at all
2
3
4
5
Perfectly
3
Q

State Markov’s inequality.

A
How well did you know this?
1
Not at all
2
3
4
5
Perfectly
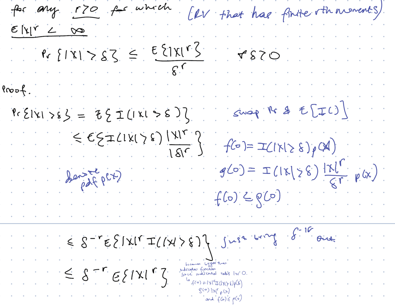
4
Q

State and prove Markov’s inequality.

A
How well did you know this?
1
Not at all
2
3
4
5
Perfectly
5
Q

State the relation between the integrals of two nonnegative functions.

A
How well did you know this?
1
Not at all
2
3
4
5
Perfectly
6
Q

State the relation between Markov and Chebyshev inequality.

A
How well did you know this?
1
Not at all
2
3
4
5
Perfectly
7
Q

Define convergence in r-th mean.

A
How well did you know this?
1
Not at all
2
3
4
5
Perfectly
8
Q

What is mean square convergence?

A
How well did you know this?
1
Not at all
2
3
4
5
Perfectly
9
Q

State and prove the relation between convergence in probability and convergence in r-th mean.

A
How well did you know this?
1
Not at all
2
3
4
5
Perfectly
10
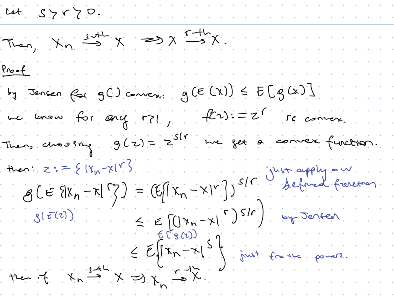
Q

State and prove the relation between convergence in r-th and s-th mean.

A

+ RHS converges, so LHS must converge. Convex function converges iff argument converges.

How well did you know this?
1
Not at all
2
3
4
5
Perfectly
11
Q

Define consistency in r-th mean.

A
How well did you know this?
1
Not at all
2
3
4
5
Perfectly
12
Q

State and prove the relation between r-th mean consistency and asymptotic unbiasedness.

A

+ I understand actually, it’s jensen with taking to the r-th power, and then taking to 1/r on both sides which shouldn’t affect since they’re both positive and convex.

How well did you know this?
1
Not at all
2
3
4
5
Perfectly
13
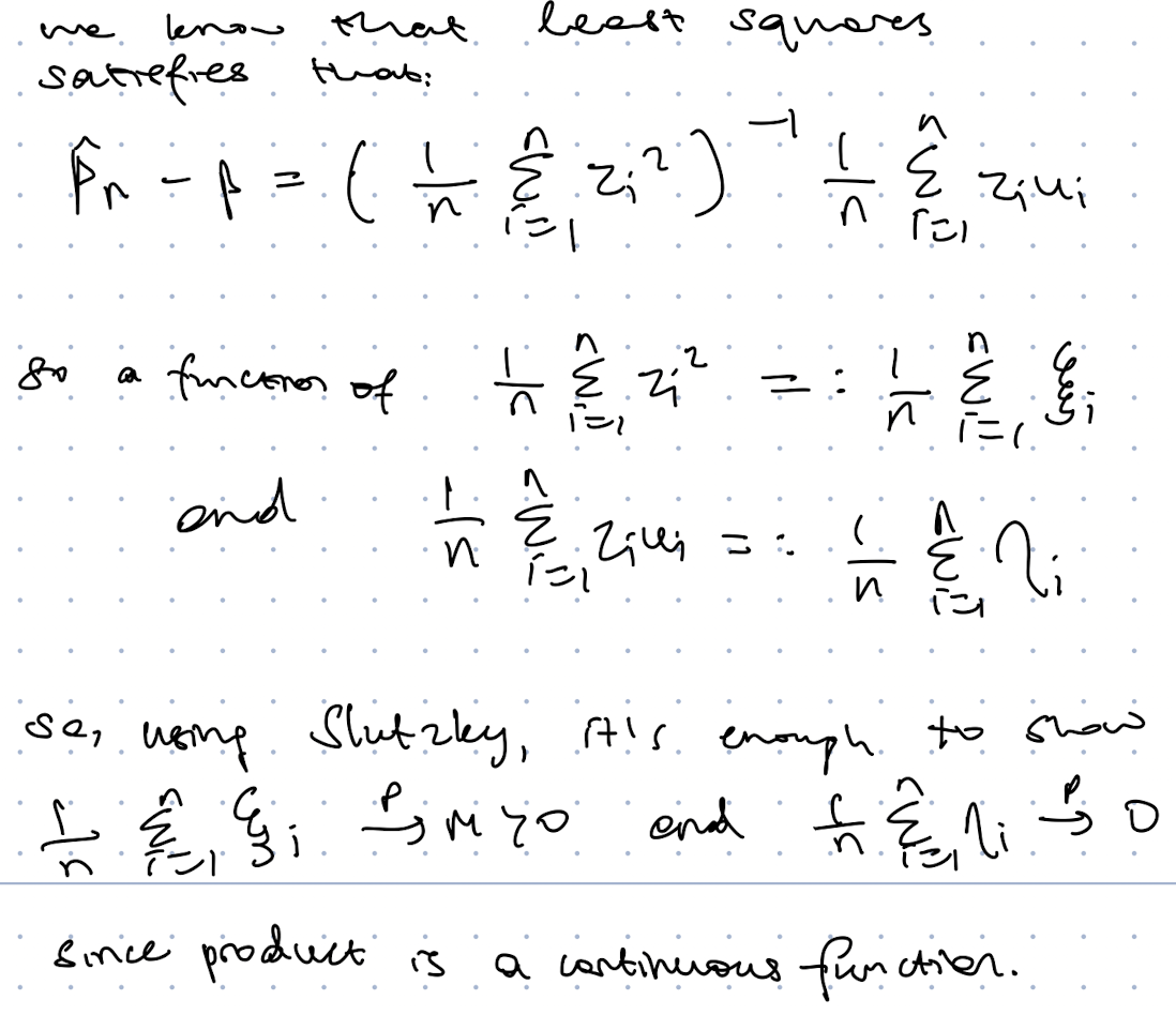
Q

Does r-th mean convergence have the slutzky type equivalent for continuous functions? If so, prove it. If not show a reason why not.

A
How well did you know this?
1
Not at all
2
3
4
5
Perfectly
14
Q

Derive the necessary conditions to show that:

A
How well did you know this?
1
Not at all
2
3
4
5
Perfectly
15
Q

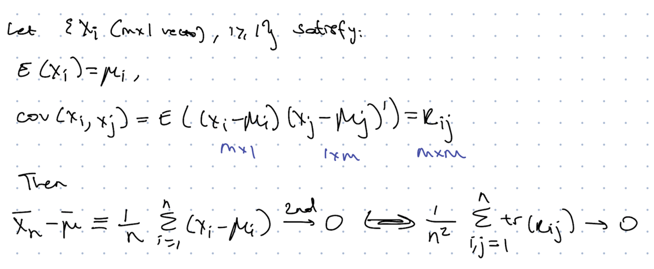
State the relation between convergence in second mean and the covariance structure.

A
How well did you know this?
1
Not at all
2
3
4
5
Perfectly
16
Q

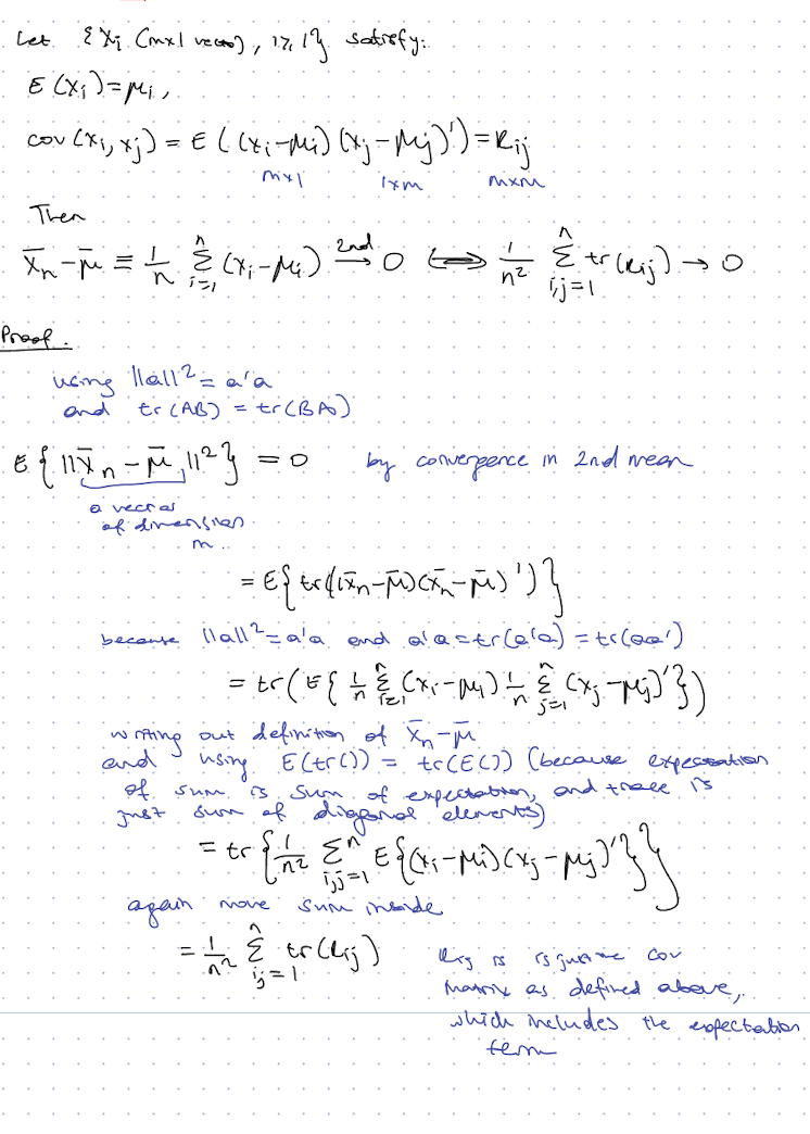
State and prove the relation between convergence in second mean and the covariance structure.

17
Q

State Chebyshev’s Weak LLN and show how it relates to Theorem 7 (relationship between convergence in second mean and covariance matrix).

18
Q

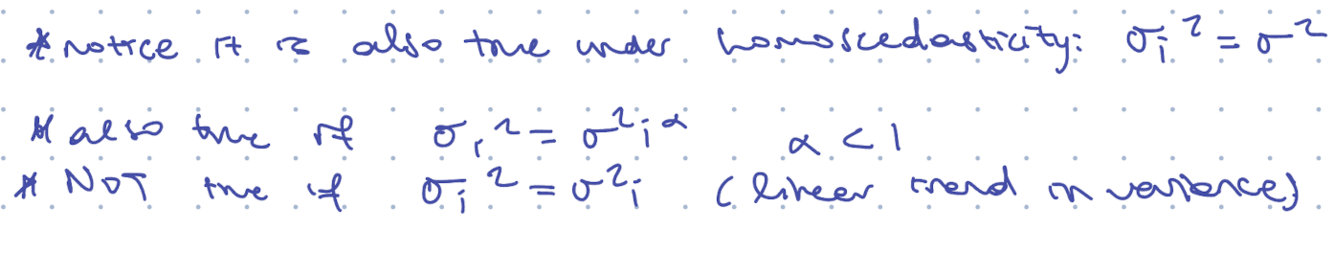
Does Chebyshev’s weak LLN apply under the case of homoskedasticity? Give an example of a case where the law does not apply.

19
Q

Give an intuitive interpretation of Chebyshev Weak LLN.

A

When the data is not uncorrelated then the condition that the sequence of RVs or the second mean to go to zero if the variance is not too too big.

20
Q

Define linear processes.

21
Q

Define Stationary Autoregressive of order p AR(p) and note the condition.

22
Q

Define moving average of order q. MA(q).

23
Q

Define autoregressive moving average of order p,q: ARMA(p,q)

24
Q

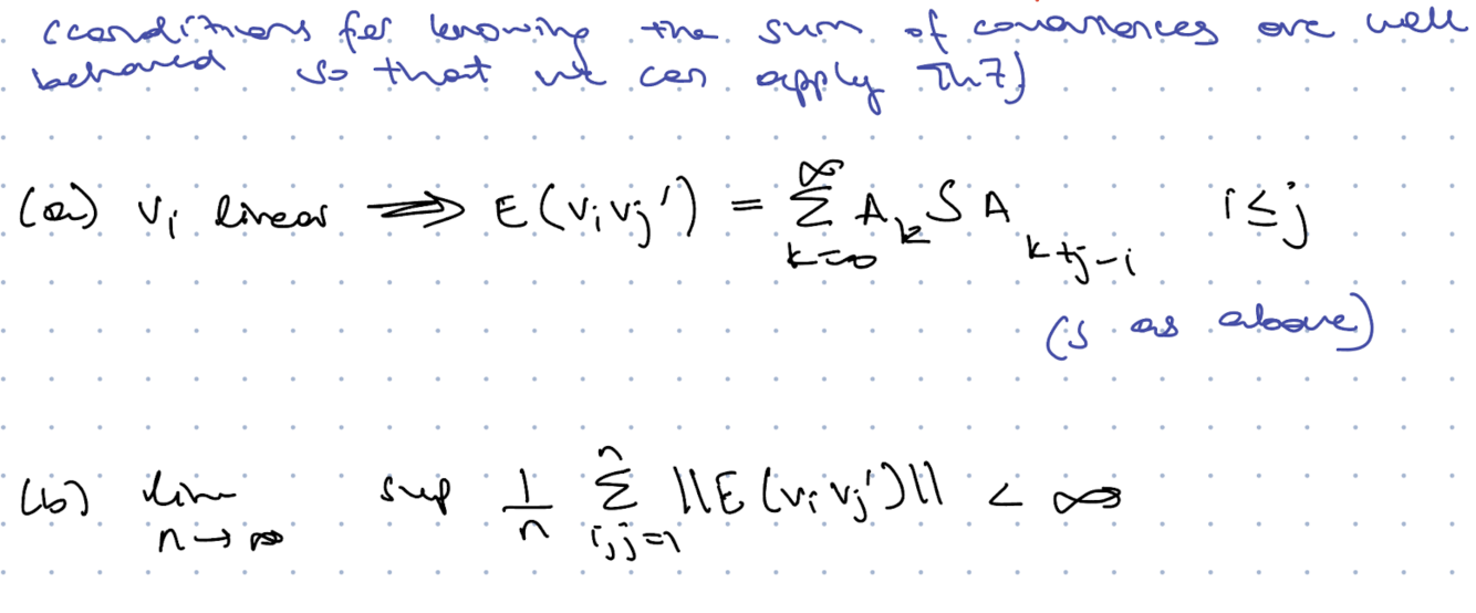
Give the two results regarding the Autocovariance Structure for Linear processes.

25
Prove the first result regarding the Autocovariance Structure for Linear processes.
26
Prove the second result regarding the Autocovariance Structure for Linear processes.