Lecture 1 Flashcards

(23 cards)

1
Q

Give 3 definitions of convergence in probability.

2 based on delta, one based on delta and epsilon

A
How well did you know this?
1
Not at all
2
3
4
5
Perfectly
2
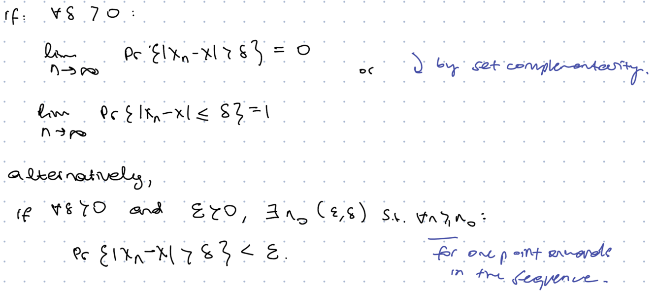
Q

The definition of weak consistency.

A
How well did you know this?
1
Not at all
2
3
4
5
Perfectly
3
Q

Give an intuitive definition of weak consistency.

A

for n large enough, the probability that theta_hat_n and theta differ at least by a quantity delta is very small.

How well did you know this?
1
Not at all
2
3
4
5
Perfectly
4
Q

Give an example of a simple consistent estimator.

A
How well did you know this?
1
Not at all
2
3
4
5
Perfectly
5
Q

Give 3 definitions of almost sure convergence.

A
How well did you know this?
1
Not at all
2
3
4
5
Perfectly
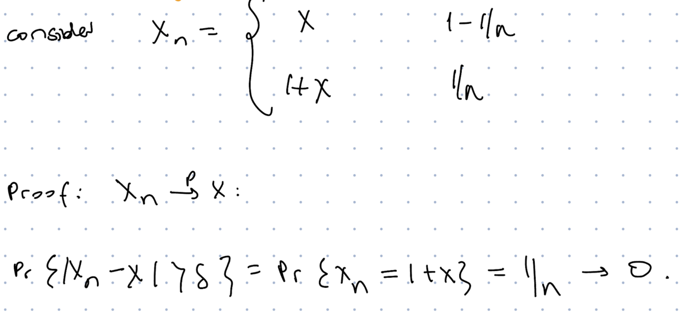
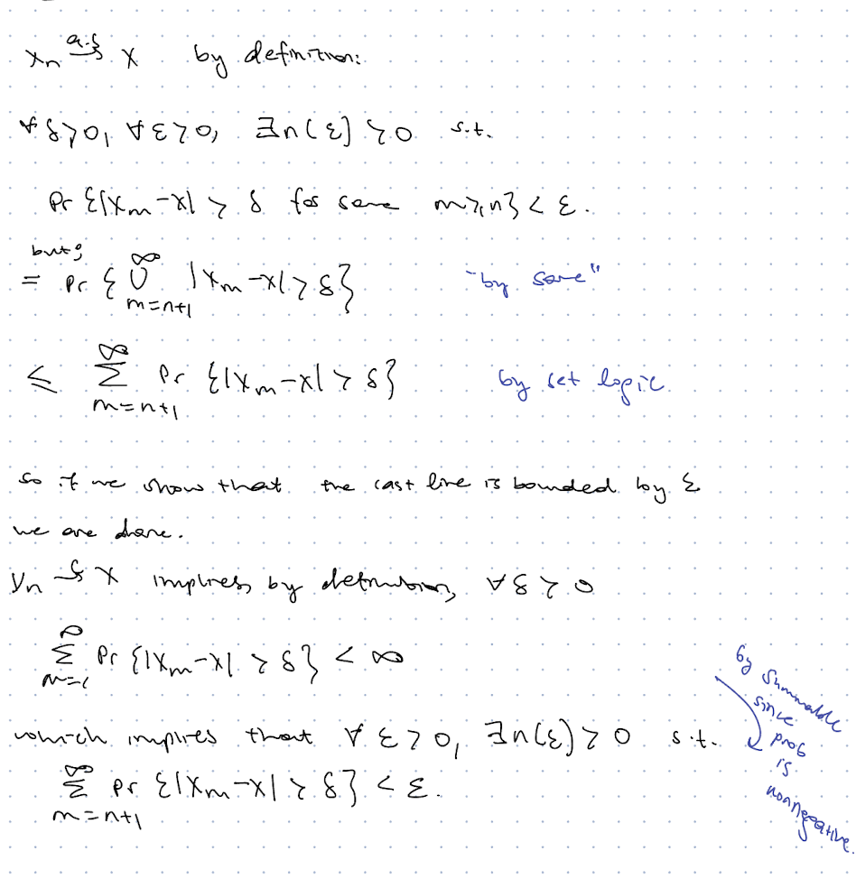
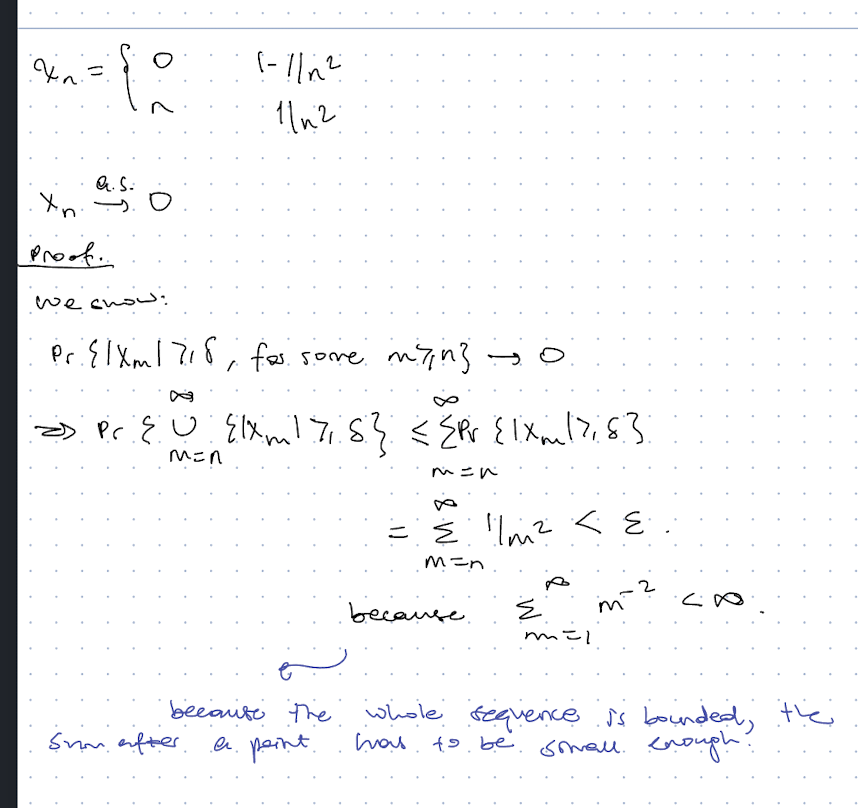
6
Q

Give an example of a sequence that converges in probability and prove that it converges in probability.

A
How well did you know this?
1
Not at all
2
3
4
5
Perfectly
7
Q

Give an example of a sequence that converges almost surely and prove that it converges almost surely.

A
How well did you know this?
1
Not at all
2
3
4
5
Perfectly
8
Q

Give the definition of uniform convergence.

A
How well did you know this?
1
Not at all
2
3
4
5
Perfectly
9
Q

Give the definition of complete convergence.

A
How well did you know this?
1
Not at all
2
3
4
5
Perfectly
10
Q

Give the relation between 3 modes of convergence.

A
How well did you know this?
1
Not at all
2
3
4
5
Perfectly
11
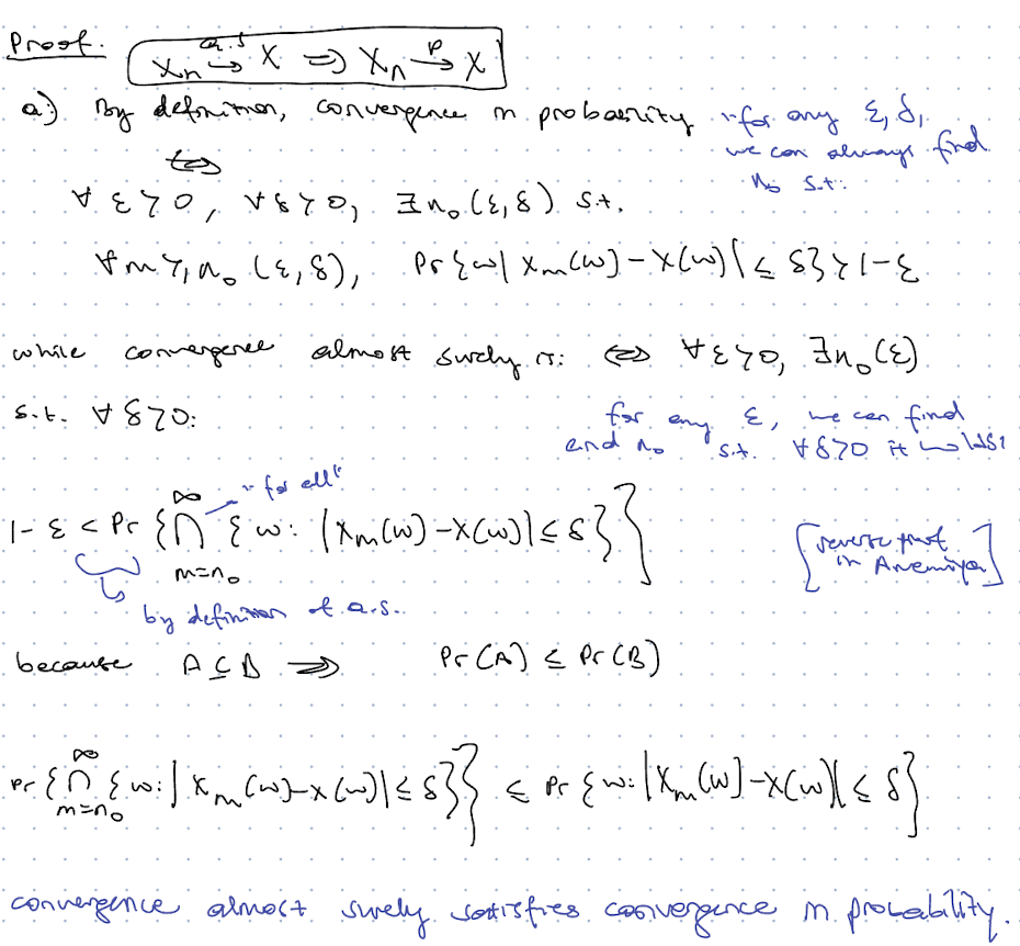
Q

Which is the direction of implication between convergence in probability and almost surely? Prove it.

A
How well did you know this?
1
Not at all
2
3
4
5
Perfectly
12
Q

Which is the direction of implication between convergence almost surely and complete convergence? Prove it.

A
How well did you know this?
1
Not at all
2
3
4
5
Perfectly
13
Q

State formally the relation between vector and element wise convergence.

clarify the key point.

A
How well did you know this?
1
Not at all
2
3
4
5
Perfectly
14
Q

State Slutzky theorem.

(with the two key assumptions)

A
How well did you know this?
1
Not at all
2
3
4
5
Perfectly
15
Q

State and prove Slutzky theorem.

A
How well did you know this?
1
Not at all
2
3
4
5
Perfectly
16
Q

State the two corollaries of Slutzky’s theorem.

and prove the second corollary.

17
Q

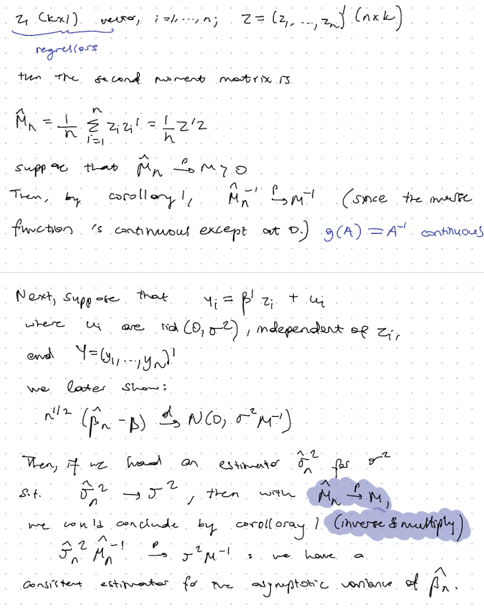
Suppose we have a consistent estimator for M. Show that if we have a consistent estimator for sigma, we have a consistent estimator for the asymptotic variance of beta hat.

18
Q

Give the definition of an unbiased estimator.

19
Q

Give the definition of an asymptotically unbiased estimator.

20
Q

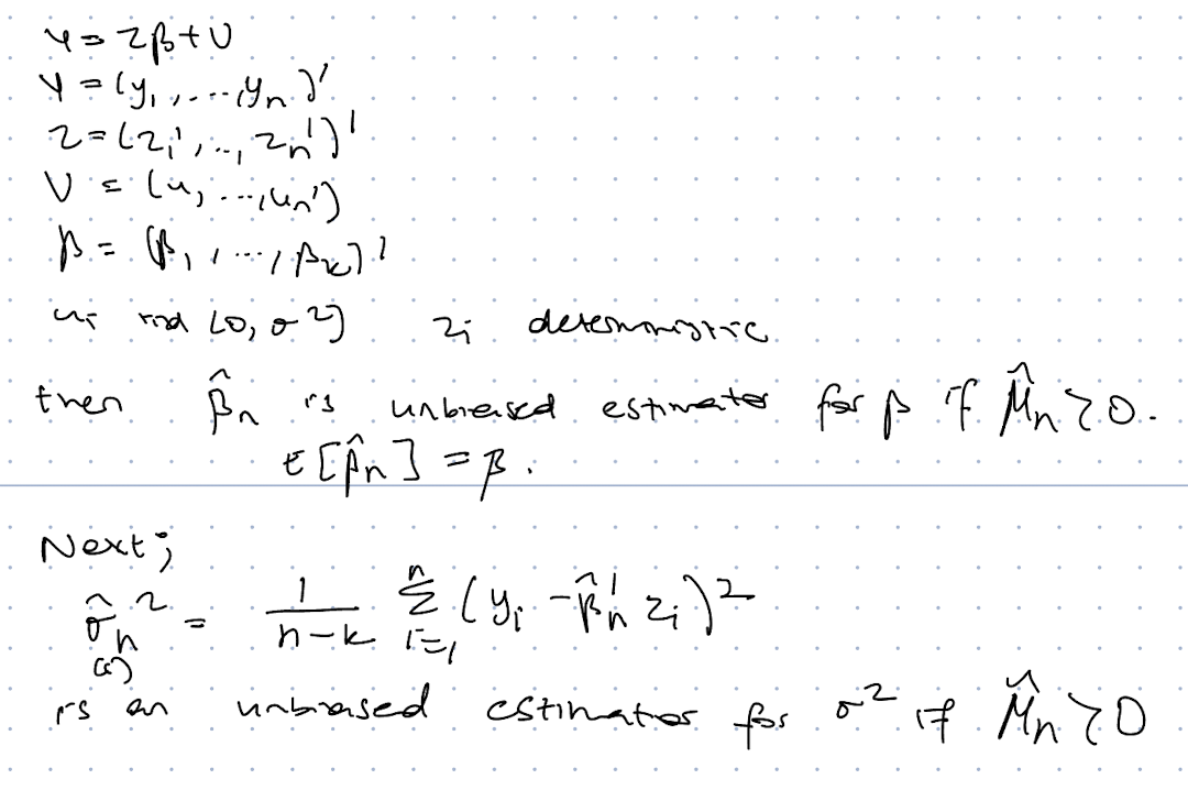
State the simple conditions for which beta hat is an unbiased estimator for beta.

21
Q

Give an unbiased estimator for sigma and state the condition for which it is unbiased.

A

u_i iid and z_i deterministic

22
Q

Give an asymptotically unbiased estimator for sigma and state the condition for which it is asymptotically unbiased.

23
Q

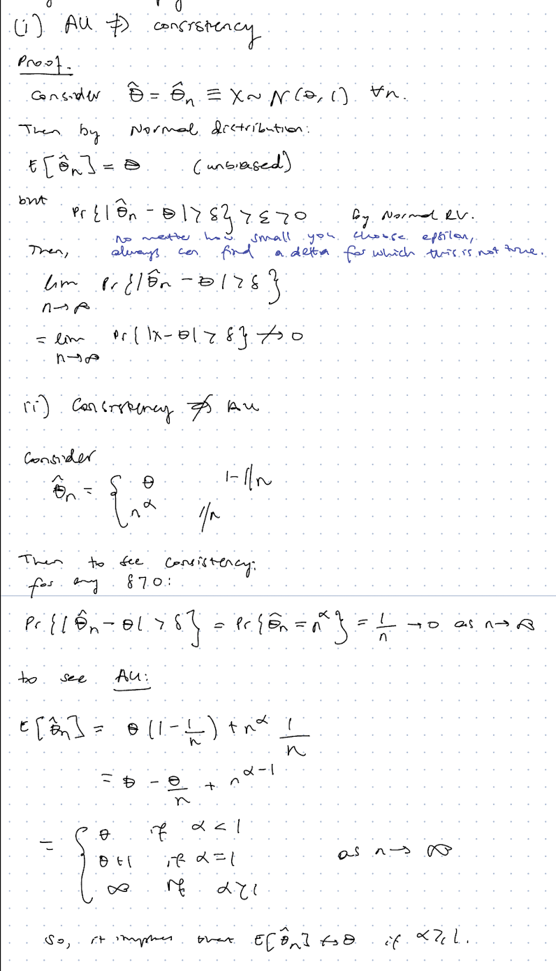
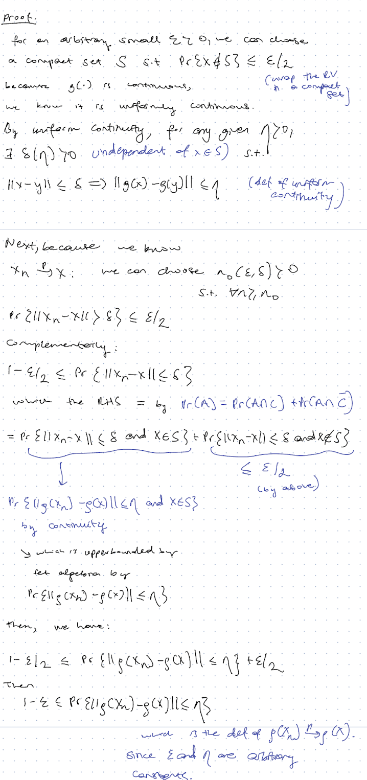
State both directions of the relationship between consistency and asymptotic unbiasedness and prove it.