Lecture 8 Flashcards

(13 cards)

1
Q

Give an example of economic data where we cannot apply LF CLT and why.

A
How well did you know this?
1
Not at all
2
3
4
5
Perfectly
2
Q

State the main assumption in linear processes that allows us to apply LF CLT.

A
How well did you know this?
1
Not at all
2
3
4
5
Perfectly
3
Q

Using the main assumption in linear processes, derive the argument in applying the LF CLT.

A
How well did you know this?
1
Not at all
2
3
4
5
Perfectly
4
Q

State Bernstein’s Lemma.

A
How well did you know this?
1
Not at all
2
3
4
5
Perfectly
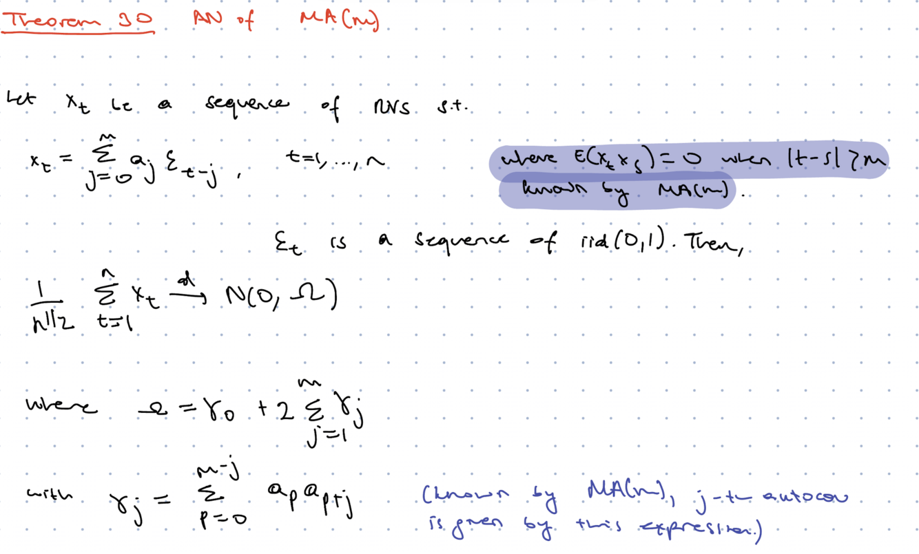
5
Q

State the theorem regarding the AN of an MA(m) process.

A
How well did you know this?
1
Not at all
2
3
4
5
Perfectly
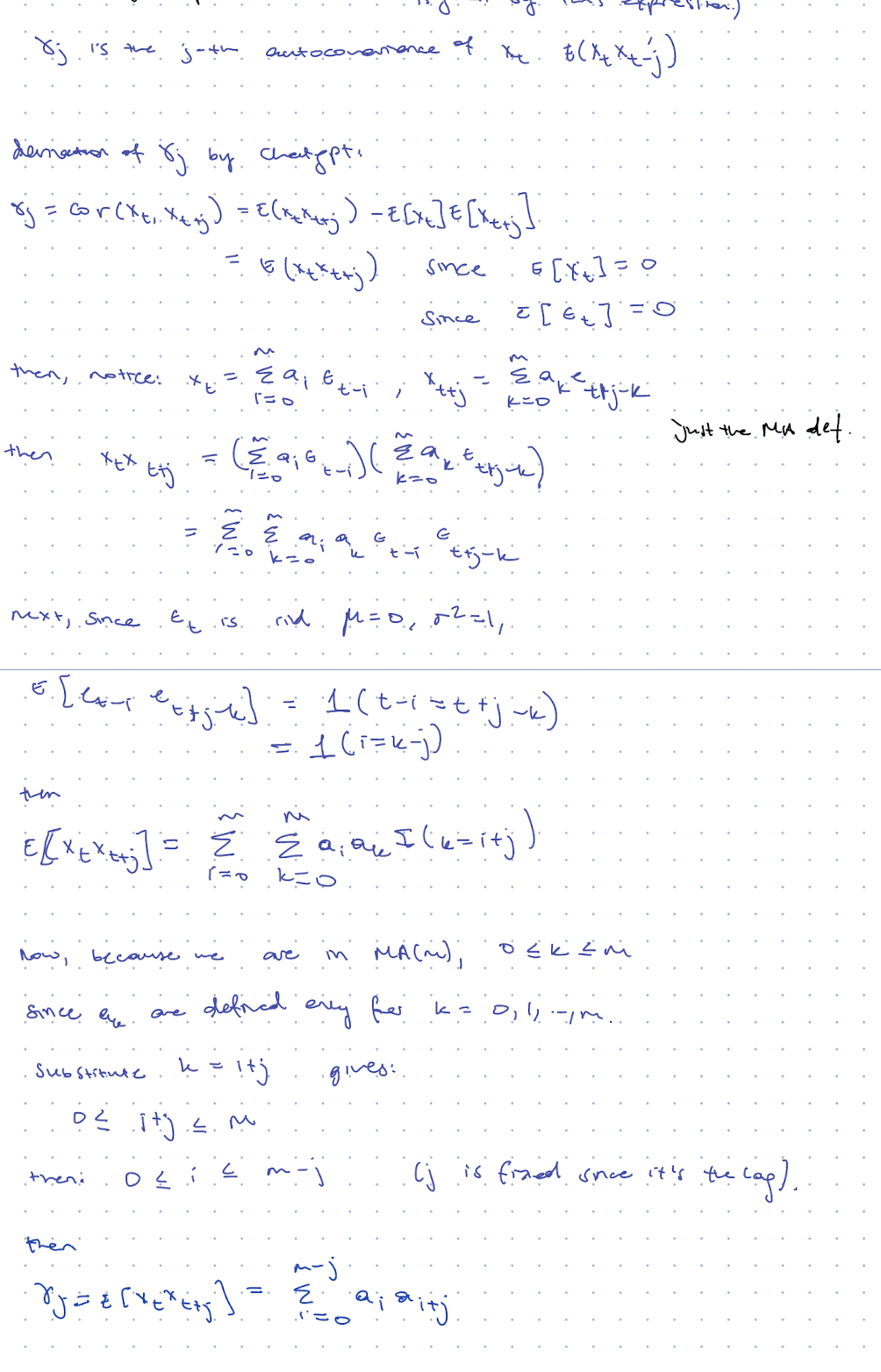
6
Q

What is gamma j in the theorem regarding the AN of MA(m)? Derive it.

A
How well did you know this?
1
Not at all
2
3
4
5
Perfectly
7
Q

Show that the theorem of AN of MA(m) holds in the case of m=1.

A
How well did you know this?
1
Not at all
2
3
4
5
Perfectly
8
Q

State formally and visually the main premise of the blocking proof.

A
How well did you know this?
1
Not at all
2
3
4
5
Perfectly
9
Q

Write our sequence of interest in the form of the two blocks, and explicitly define the two blocks.

A
How well did you know this?
1
Not at all
2
3
4
5
Perfectly
10
Q

Verbally explain and show how writing our sequence of interest in terms of the two blocks helps us.

A
How well did you know this?
1
Not at all
2
3
4
5
Perfectly
11
Q

Reach a conclusion regarding the stochastic order of magnitude of the second term (small block series.)

A
How well did you know this?
1
Not at all
2
3
4
5
Perfectly
12
Q

Reach a conclusion regarding the stochastic order of magnitude of the second term (small block series.)

A
How well did you know this?
1
Not at all
2
3
4
5
Perfectly
13
Q

Reach a conclusion regarding the stochastic order of magnitude of the first term (big block series.) (joe’s answer.)

A
How well did you know this?
1
Not at all
2
3
4
5
Perfectly