Lecture 7 Flashcards

(39 cards)

1
Q

Start small: Write the formula for beta hat.

A
How well did you know this?
1
Not at all
2
3
4
5
Perfectly
2
Q

Why would we want to premultiply if we know beta hat is consistent?

A
How well did you know this?
1
Not at all
2
3
4
5
Perfectly
3
Q

What can you say about the second moment of the difference given deterministic z? What is the condition for consistency?

A
How well did you know this?
1
Not at all
2
3
4
5
Perfectly
4
Q

Consider then that we want to pre-multiply by something as in the L-F CLT. Write what it looks like and give the conditions needed for this to work.

A
How well did you know this?
1
Not at all
2
3
4
5
Perfectly
5
Q

Write down the matrix R that we are interested in.

A
How well did you know this?
1
Not at all
2
3
4
5
Perfectly
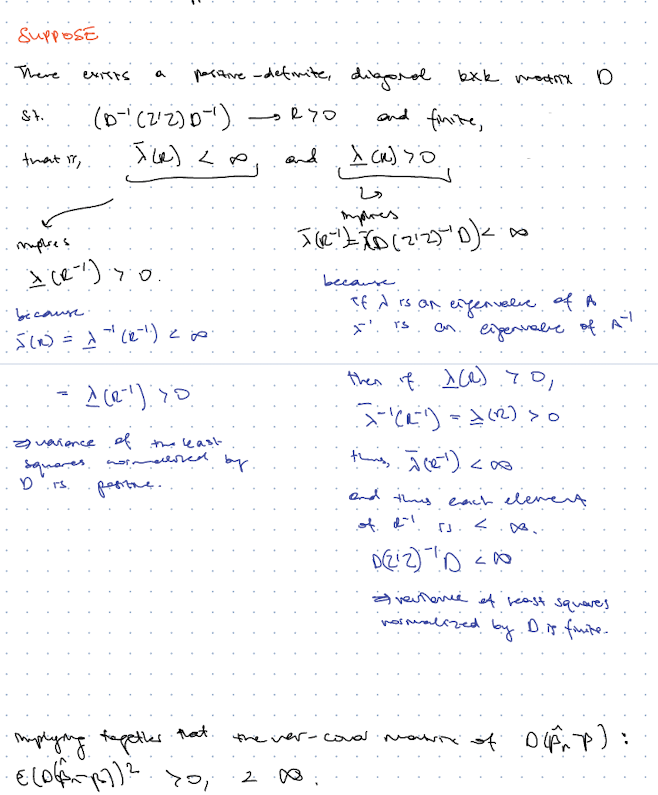
6
Q

Show how the eigenvalue requirements on R relate to the variance of the least squares normalized by R.

A

+ also write the formula of the second moment of the normalized least squares to see it

How well did you know this?
1
Not at all
2
3
4
5
Perfectly
7
Q

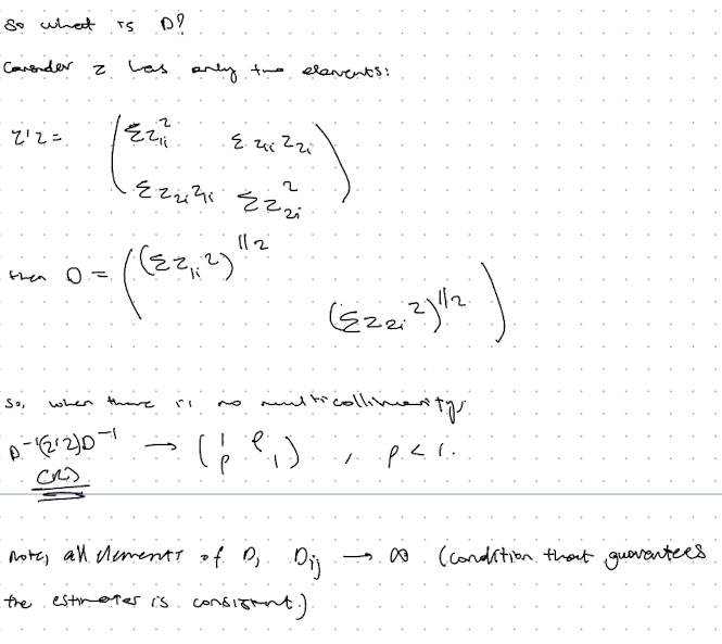
Show what D looks like in the case where z has 2 elements.

A
How well did you know this?
1
Not at all
2
3
4
5
Perfectly
8
Q

Show what R looks like in the case where z has only 2 elements. State the needed assumption.

A
How well did you know this?
1
Not at all
2
3
4
5
Perfectly
9
Q

Derive the stochastic order of magnitude of D(beta hat - beta)

A
How well did you know this?
1
Not at all
2
3
4
5
Perfectly
10
Q

Show the decomposition utilized in the lectures of D(beta hat - beta). Note which part governs the distribution.

A
How well did you know this?
1
Not at all
2
3
4
5
Perfectly
11
Q

Show D(beta hat - beta) in scalar form, using Rn hat.

A
How well did you know this?
1
Not at all
2
3
4
5
Perfectly
12
Q

Given the decomposition, which component’s distribution should we be interested in? Why?

A
How well did you know this?
1
Not at all
2
3
4
5
Perfectly
13
Q

Write the expression we are interested in, in the form required for CLTs. (Hint: start by writing it in scalar form.)

A
How well did you know this?
1
Not at all
2
3
4
5
Perfectly
14
Q

Can we use Lindeberg-Levy CLT? Why?

A
How well did you know this?
1
Not at all
2
3
4
5
Perfectly
15
Q

List the conditions required for L-F CLT.

A
How well did you know this?
1
Not at all
2
3
4
5
Perfectly
16
Q

Derive the primitive condition in our context required for A1 of L-F CLT.

17
Q

Derive the primitive condition in our context required for A2 of L-F CLT.

18
Q

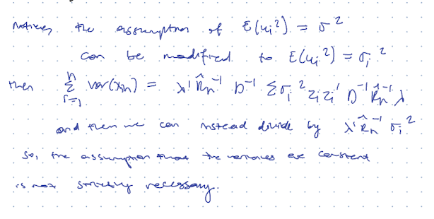
Show how you can relax the homoscedasticity assumption for A2.

19
Q

Derive the primitive condition in our context required for A3 of L-F CLT.

20
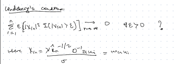
Q

A4 Reminder: State Lindeberg’s condition and our expression of interest.

21
Q

Start deriving, up to getting an expression the terms of w_i and u_i, of a primitive condition that would satisfy the Lindeberg condition.

22
Q

Consider that we derived following condition needed in our context for the Lindeberg condition to be satisfied. What conditions do we need to impose on w_i?

23
Q

Give an example of a summable sequence that has a positive sum, where all elements converge to 0. Relate why this is important in our context, with the two conditions we need simultaneously on w_i.

24
Q

Derive the two most primitive sufficient conditions in terms of w_i and u_i for the Lindeberg condition to be satisfied.

25
Reminder, we wrote w_i as follows: Derive the primitive condition required for the Lindeberg condition in terms of z_i.
26
Derive the most primitive condition for our condition of interest in scalar form.
27
List the primitive sufficient conditions and conclusions regarding the distribution of the least squares estimator.
28
State Cramer's theorem.
29
Give another condition that satisfies A5.
30
State the case for which Grenander conditions are satisfied when there are trends in the regressors.
31
State the case for which Grenander conditions are NOT satisfied when there are trends in the regressors.
32
State the case for which Grenander conditions are satisfied when there are trends in the regressors, and prove that they are satisfied.
33
State an example of regressors that Grenander conditions are not satisfied. Are both conditions unsatisfied?
34
Show whether or not the first Grenander condition is satisfied in our example where not both conditions of Grenander are satisfied.
35
Show whether or not the second Grenander condition is satisfied in our example where not both conditions of Grenander are satisfied.
36
In the example where not both of the Grenander conditions are satisfied, impose that u_i s are iid. Show what assumption we would need to make on the u_is to be able to make the statement we want.
37
If the u_i s are normally distributed, do we need to use L-F CLT to make a claim regarding X_n?
38
Consider X_n below, where u_i is iid(0,1), E(u_i ^3) = /mu , and E(u_i ^4) exists. Show that the second Grenander condition is not satisfied.
39
Consider the case where z_i = 1/i. Is the estimator consistent? Is it AN? Relate the AN to the distribution of the errors.