Lecture 4.1 Flashcards

(31 cards)

1
Q

State the relation between two sufficient conditions for UI.

A
How well did you know this?
1
Not at all
2
3
4
5
Perfectly
2
Q

State and prove the relation between two sufficient conditions for UI.

A
How well did you know this?
1
Not at all
2
3
4
5
Perfectly
3
Q

Are transformations of independent variables also independent?

Are transformations of uncorrelated variables also uncorrelated?

A
  1. Transformations of independent variables are also independent.
  2. Transformations of uncorrelated variables are NOT also uncorrelated.
How well did you know this?
1
Not at all
2
3
4
5
Perfectly
4
Q

State formally and intuivitely the condition for martingale sequences.

A

Intuitively: Expectation with relation to the past is 0.

How well did you know this?
1
Not at all
2
3
4
5
Perfectly
5
Q

State the relationship between indepence, martingale differences and uncorrelation.

A
  1. Independence implies martingale difference.
  2. Martingale difference implies uncorrelated.
How well did you know this?
1
Not at all
2
3
4
5
Perfectly
6
Q

State and prove the relationship between uncorrelation and martingale difference sequence.

A
How well did you know this?
1
Not at all
2
3
4
5
Perfectly
7
Q

Formally state the WLLN for independent UI sequences.

A
How well did you know this?
1
Not at all
2
3
4
5
Perfectly
8
Q

Formally state and prove the WLLN for independent UI sequences.

A
How well did you know this?
1
Not at all
2
3
4
5
Perfectly
9
Q

State a relaxation for one of the assumptions of the WLLN for independent UI sequences.

A
How well did you know this?
1
Not at all
2
3
4
5
Perfectly
10
Q

How do you use WLLN for independent UI sequences when expected mean is not equal to 0? Provide all the details.

A
How well did you know this?
1
Not at all
2
3
4
5
Perfectly
11
Q

State Khinchin’s WLLN.

A
How well did you know this?
1
Not at all
2
3
4
5
Perfectly
12
Q

State and prove Khinchin’s WLLN.

A
How well did you know this?
1
Not at all
2
3
4
5
Perfectly
13
Q

State Kolmogorov’s SLLN.

A
How well did you know this?
1
Not at all
2
3
4
5
Perfectly
14
Q

Describe how we can still use the SLLN if we relax the identical assumption.

A
How well did you know this?
1
Not at all
2
3
4
5
Perfectly
15
Q

Describe why we cannot use Khinchin’s Theorem in multiple regression with deterministic z_i.

A
How well did you know this?
1
Not at all
2
3
4
5
Perfectly
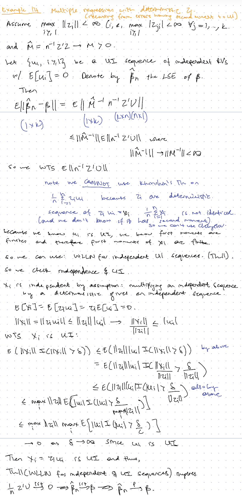
16
Q

Describe why we cannot use Chebyshev’s Theorem (Th 7) in multiple regression with deterministic z_i.

17
Q

Show the consistency of beta hat in multiple regression with deterministic z_i assuming errors u_i are UI.

18
Q

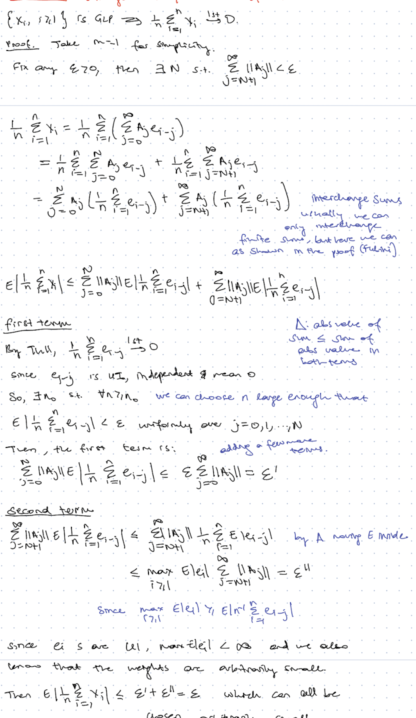
Formally define a generalized linear process.

19
Q

Clarify in words the difference (and relationship) between a linear process and a generalized linear process.

A

In the linear process, we assume the innovations e_i have second mean and are uncorrelated.

In GLP, we simply assume that e_i is UI. Therefore a linear process is by definition a GLP, since the assumptions on linear processes imply that they are uniformly integrable.

20
Q

Formally state the theorem regarding the convergence in first mean of GLP.

21
Q

Formally state and prove the theorem regarding the convergence in first mean of GLP.

A

since all epsilons can be chosen arbitrarily small, we are done.

22
Q

Give an example of regressors z_i such that Q_n / n does not have a finite limit.

23
Q

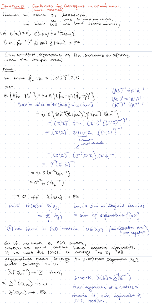
State the theorem along with all the assumptions relating the convergence of Beta hat in second mean and the eigenvalues of the Q matrix.

24
Q

State and prove the theorem relating the convergence of Beta hat in second mean and the eigenvalues of the Q matrix.

25
Relate the min eigenvalue of a matrix to it's elements of diagonal.
26
State another condition that sufficies for Beta hat n consistency.
27
State and prove another condition that sufficies for Beta hat n consistency.
28
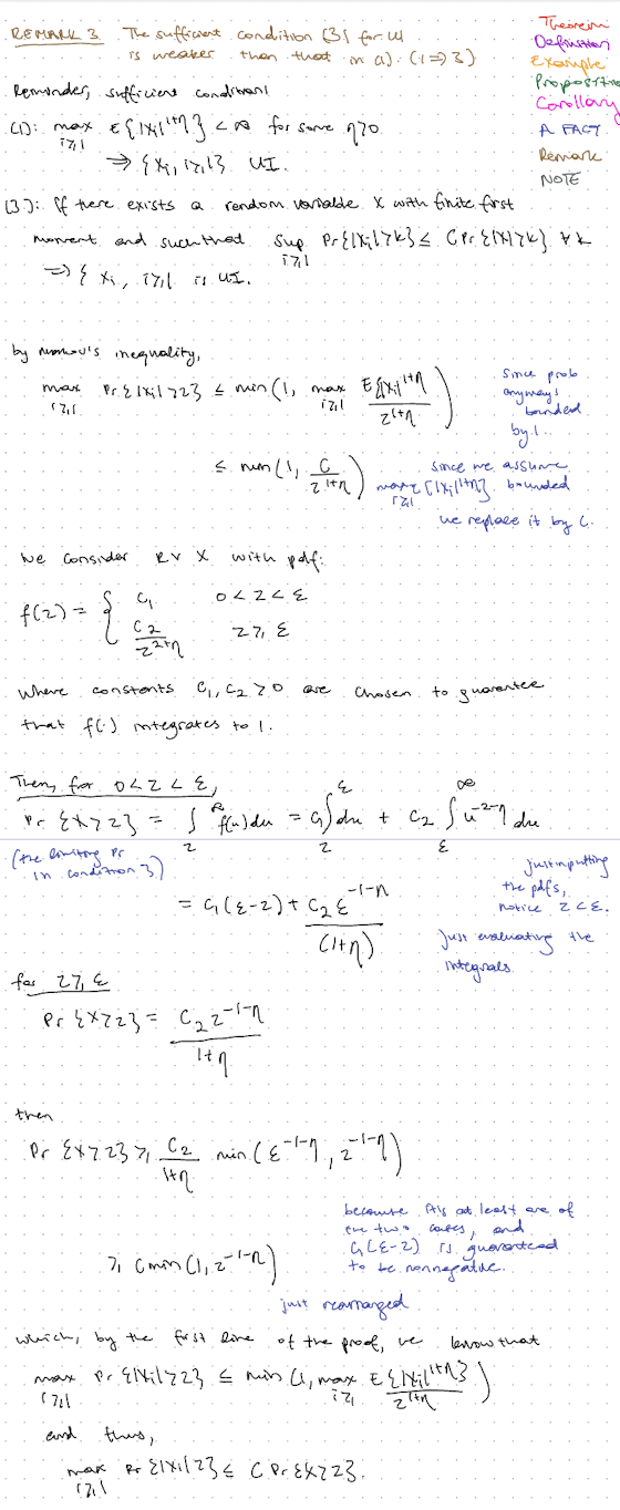
Describe the relationship between second moment and probability, in cases where second moment exists and doesn't exist.
29
State and show a condition that guarantees Beta hat consistency when we have finite var on errors.
30
Show that y\_i = alpha + Beta x i + u_i is consistent.
31
Give an example of a linear regression that is not consistent and show why it is not consistent.