Lecture 6 Flashcards

(37 cards)

1
Q

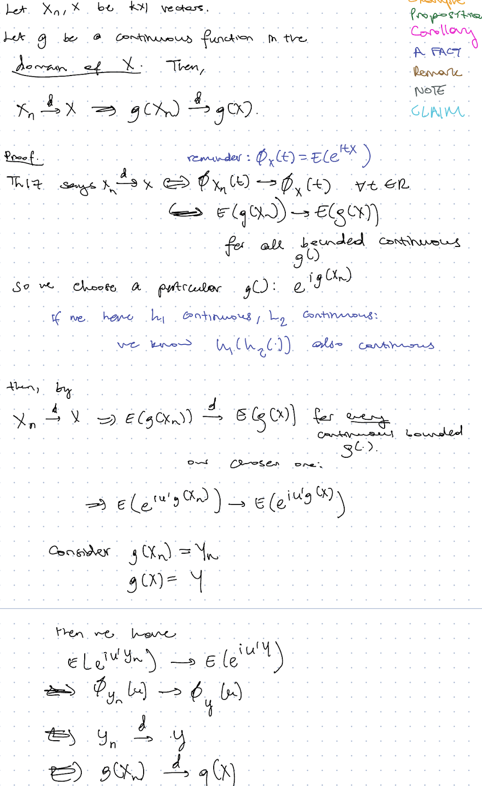
State the Continuous Mapping Theorem.

A
How well did you know this?
1
Not at all
2
3
4
5
Perfectly
2
Q

State and prove the Continuous Mapping Theorem.

A
How well did you know this?
1
Not at all
2
3
4
5
Perfectly
3
Q

State the relationship between Normal and chi-squared distribution.

A
How well did you know this?
1
Not at all
2
3
4
5
Perfectly
4
Q

If you have a function that takes two vectors, in which cases can you say something about the distribution of the output?

A
How well did you know this?
1
Not at all
2
3
4
5
Perfectly
5
Q

Prove the distribution of the output of function that takes two arguments.

A
How well did you know this?
1
Not at all
2
3
4
5
Perfectly
6
Q

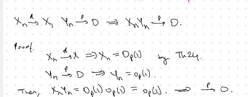
Consider an RV X_n that converges in distribution, and an RV Y_n that converges in probability. State 3 results regarding their combinations.

A
How well did you know this?
1
Not at all
2
3
4
5
Perfectly
7
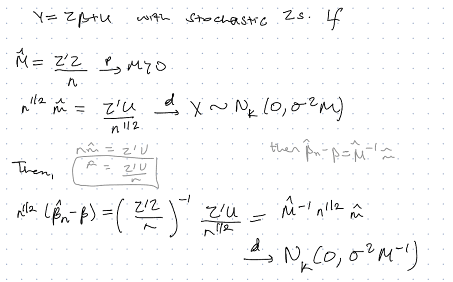
Q

Derive the distributon of n^(1/2)[Beta hat - Beta] with stochastic z’s.

A
How well did you know this?
1
Not at all
2
3
4
5
Perfectly
8
Q

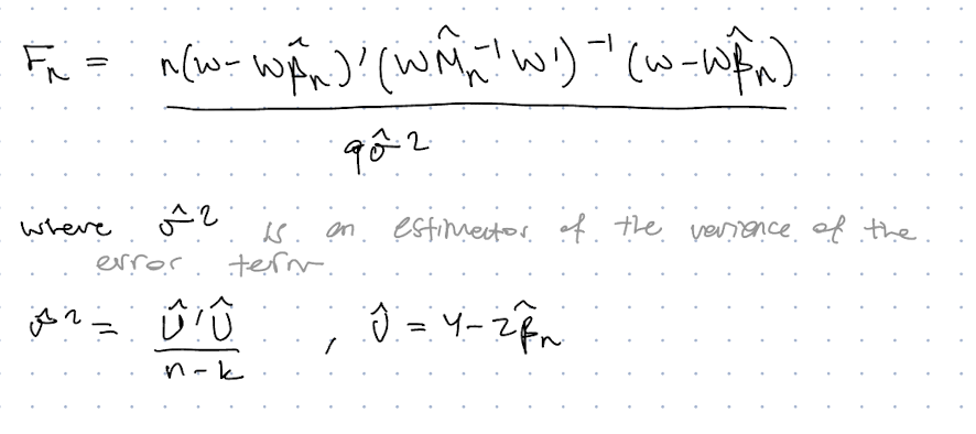
Write the F test statistic (Wald statistic)

A
How well did you know this?
1
Not at all
2
3
4
5
Perfectly
9
Q

Under which circumstances can we make a claim regarding the distribution of the F statistic and to what? Write in detail.

A
How well did you know this?
1
Not at all
2
3
4
5
Perfectly
10
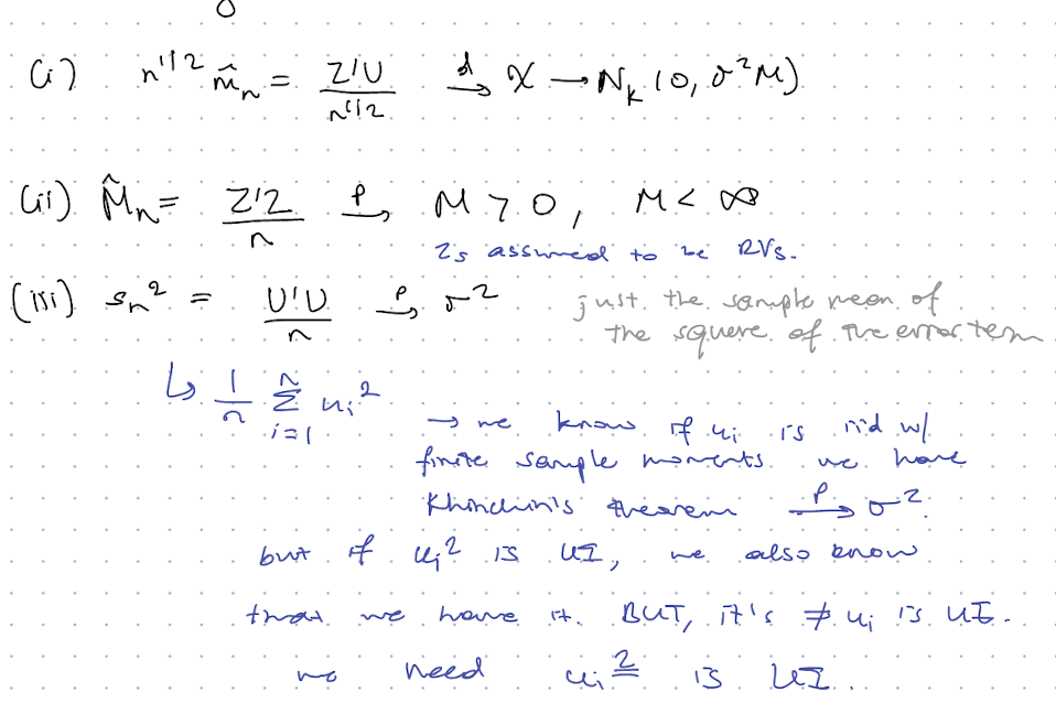
Q

If we don’t assume u_i is iid, what assumptions do we need? List in detail.

A
How well did you know this?
1
Not at all
2
3
4
5
Perfectly
11
Q

Re-write the F statistic given those assumptions.

A
How well did you know this?
1
Not at all
2
3
4
5
Perfectly
12
Q

Make an observation regarding the F statistic and theorems we can use with the given assumptions.

A
How well did you know this?
1
Not at all
2
3
4
5
Perfectly
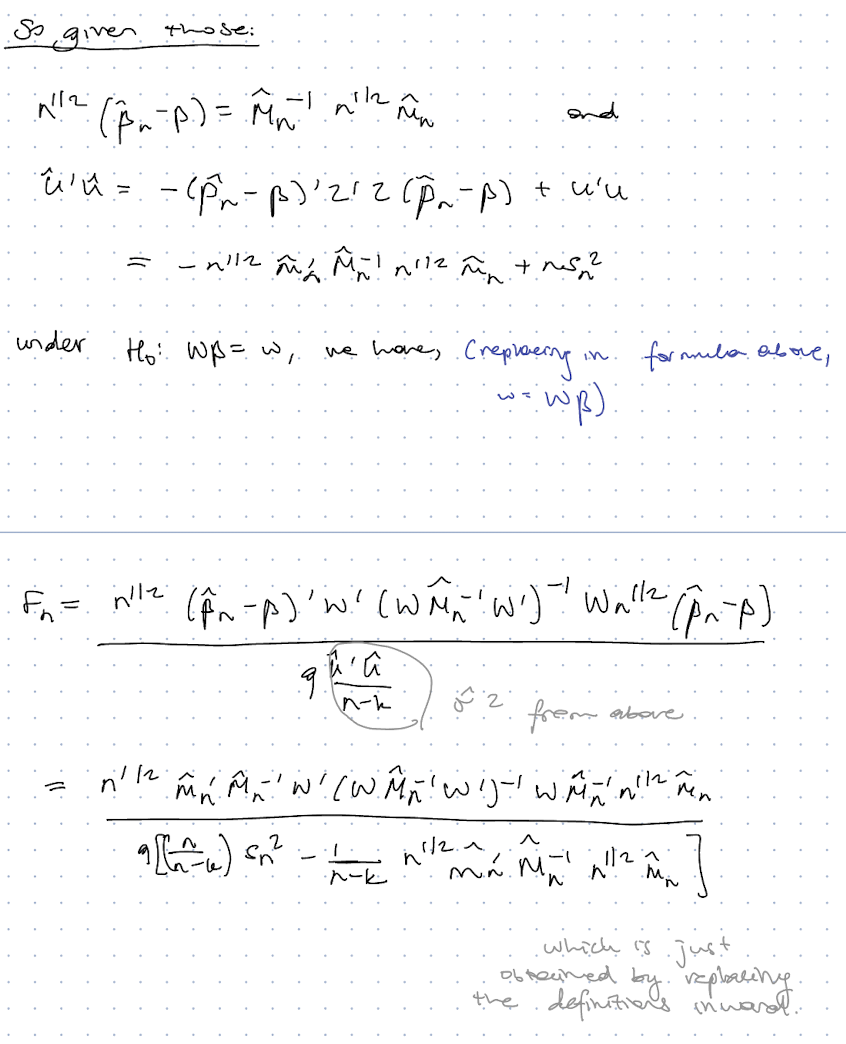
13
Q

Rewrite the test statistics in terms of what you have derived, and show the denominator derivation in detail.

A
How well did you know this?
1
Not at all
2
3
4
5
Perfectly
14
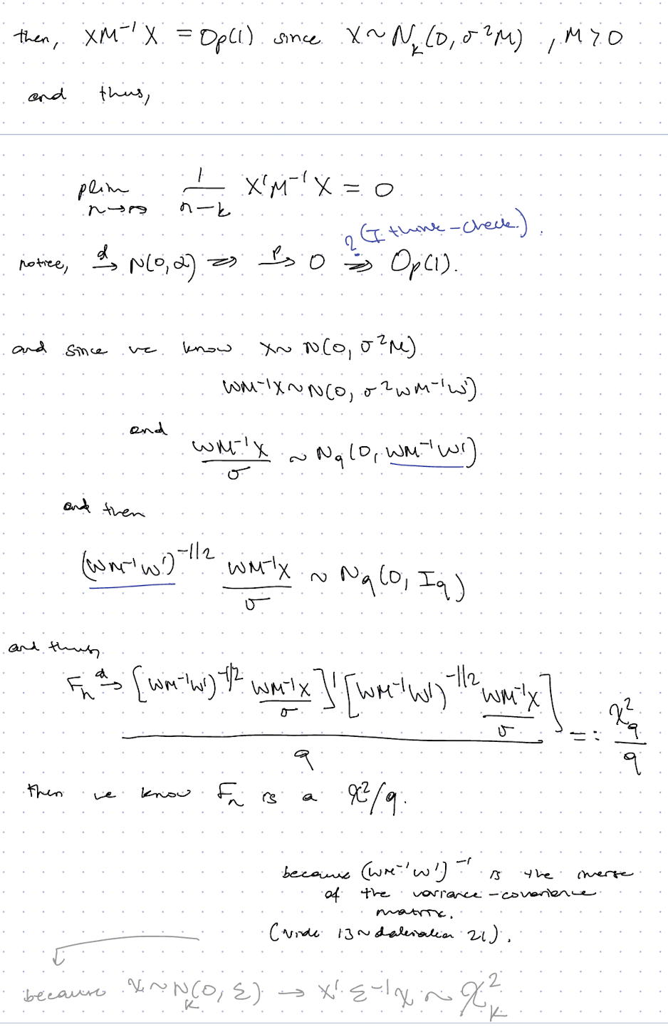
Q

Derive the distribution of the F statistic.

A
How well did you know this?
1
Not at all
2
3
4
5
Perfectly
15
Q

State the relationships between convegence in a.s, p, r-th mean, d.

A
How well did you know this?
1
Not at all
2
3
4
5
Perfectly
16
Q

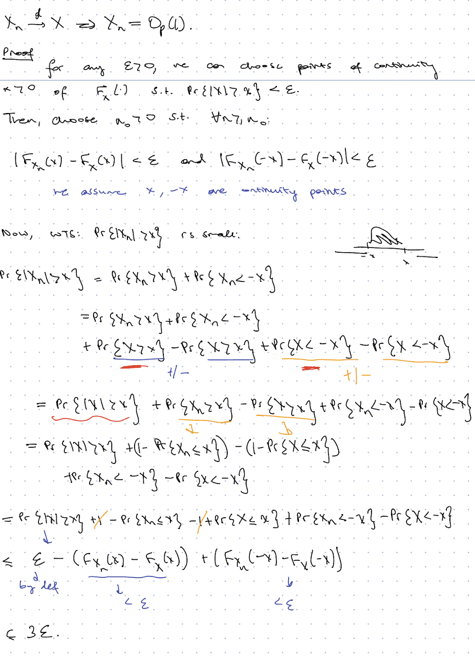
State the relationship between convergence in distribution and Op(1).

17
Q

State and prove the relationship between convergence in distribution and Op(1).

18
Q

Given the denominator from hypothesis testing, show another way to see convergence to q*sigma squared.

19
Q

Consider Xn that converges in distribution, and Yn that converges in probability to 0. What can you say about XnYn?

20
Q

Consider Xn that converges in distribution, and Yn that converges in probability to 0. What can you say about XnYn? Prove it.

21
Q

Give the definition of a triangular array.

22
Q

Give a conceptual example of data organized in the form of a triangular array.

23
Q

Give an example of a sequence of RVs that depends on n directly.

24
Q

State the first 3 assumptions for the Lindeberg-Feller CLT for triangular arrays. State the easy way of how to deal with situations where the first two assumptions are not exactly holding.

25
State the Lindeberg-Feller CLT for triangular arrays.
26
State an alternative condition that implies Lindeberg's condition.
| (Lyapunov).
27
State a relaxation to Lyapunov's condition.
28
Consider a previous example, where we had X_in = (sigma squared * n)^(-1/2)*X_i . Show that the relaxation for the Lyapunov's condition is sufficient for Lindeberg's condition to hold true in this case.
29
State Lindeberg-Levy's CLT for triangular arrays.
If X_in is iid across i, a sufficient condition for Lindeberg's condition becomes
30
Show how to arrive at the sufficient condition for Lindeberg's condition in the Lindeberg-Levy CLT.
31
State our example again and give the specific condition for Lindeberg-Levy CLT in the case of this example.
32
Consider: what can you say about it's distribution? How would you start checking it?
Start checking by seeing the characteristic function converges to the characteristic function of the limit.
33
Show the short way: Check against assumptions of the Lindeberg condition.
34
Make a claim regarding the distribution of sum of RVs in one row where there is within row iid.
35
What is the relationship between the number of moments of an RV and the differentiability of it's characteristic function?
36
Derive the second order expansion of the characteristic function around 0.
37
Show from first principles that the distribution of the sum of RVs is N(0,1).