Lecture 5 Flashcards

(23 cards)

1
Q

Define the characteristic function of X and state why and how it’s useful for our purposes.

A
How well did you know this?
1
Not at all
2
3
4
5
Perfectly
2
Q

Define convergence in distribution.

A
How well did you know this?
1
Not at all
2
3
4
5
Perfectly
3
Q

How many discontuinity points or jumps can a limiting distribution have?

A
How well did you know this?
1
Not at all
2
3
4
5
Perfectly
4
Q

If X_i iid with given mean and sigma squared, what can you say about the limiting distribution?

A
How well did you know this?
1
Not at all
2
3
4
5
Perfectly
5
Q

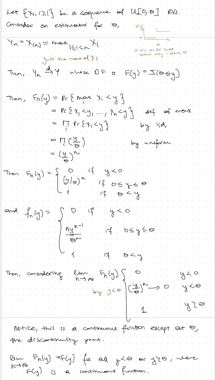
Consider X_i, a sequence of U[0,\theta] RVs. Give the distribution of an estimator for \theta.

A
How well did you know this?
1
Not at all
2
3
4
5
Perfectly
6
Q

State the relationship or lack thereof between convergence in distirbution and in r-th mean.

A
How well did you know this?
1
Not at all
2
3
4
5
Perfectly
7
Q

State and show by example the relationship between convergence in distribution and r-th mean.

A

Notice the we can realize the rv only takes values 0 and n from the discontinuity point and the rest follows.

How well did you know this?
1
Not at all
2
3
4
5
Perfectly
8
Q

Is there any case when convergence in distribution does imply convergence in r-th mean? What is it?

A
How well did you know this?
1
Not at all
2
3
4
5
Perfectly
9
Q

State two necessary and sufficient conditions for convergence in distribution.

A
How well did you know this?
1
Not at all
2
3
4
5
Perfectly
10
Q

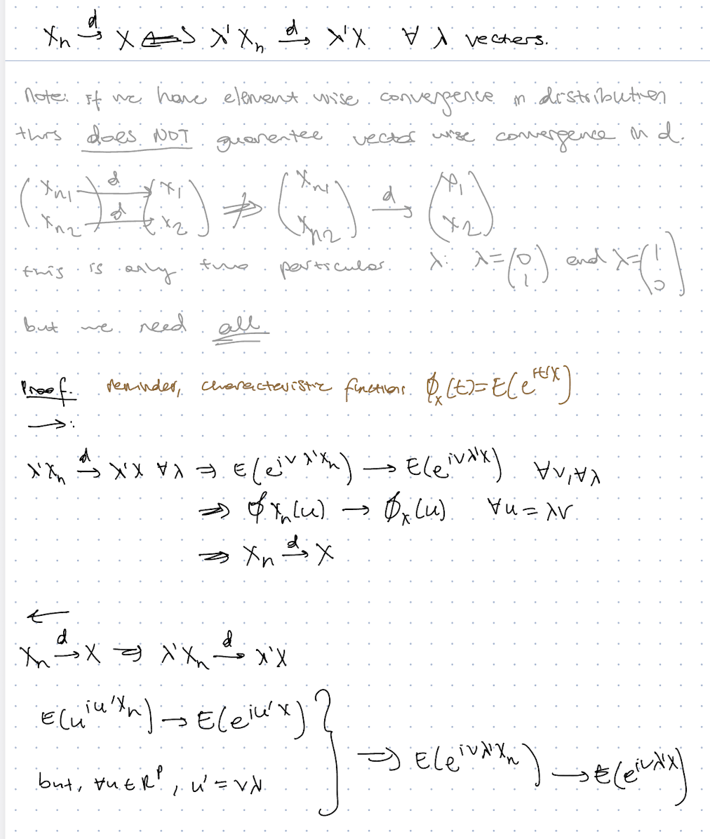
State the theorem relating convergence in distribution of a vector and the convergence in distribution of it’s linear combination.

A
How well did you know this?
1
Not at all
2
3
4
5
Perfectly
11
Q

State and prove the theorem relating convergence in distribution of a vector and the convergence in distribution of it’s linear combination.

A
How well did you know this?
1
Not at all
2
3
4
5
Perfectly
12
Q

Give the characteristic function of a normal RV.

A
How well did you know this?
1
Not at all
2
3
4
5
Perfectly
13
Q

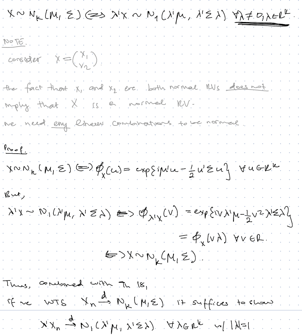
Give the definition of a k-variate normal.

A
How well did you know this?
1
Not at all
2
3
4
5
Perfectly
14
Q

State the theorem defining the distribution of a linear combination of normal RVs.

A
How well did you know this?
1
Not at all
2
3
4
5
Perfectly
15
Q

Consider we have a vector where each element is a normal RV. Does this imply that the vector is a normal RV?

A
How well did you know this?
1
Not at all
2
3
4
5
Perfectly
16
Q

State and prove the theorem defining the distribution of a linear combination of normal RVs.

17
Q

Consider a scalar random variable. State the two relationships between convergence in distribution and convergence in probability.

18
Q

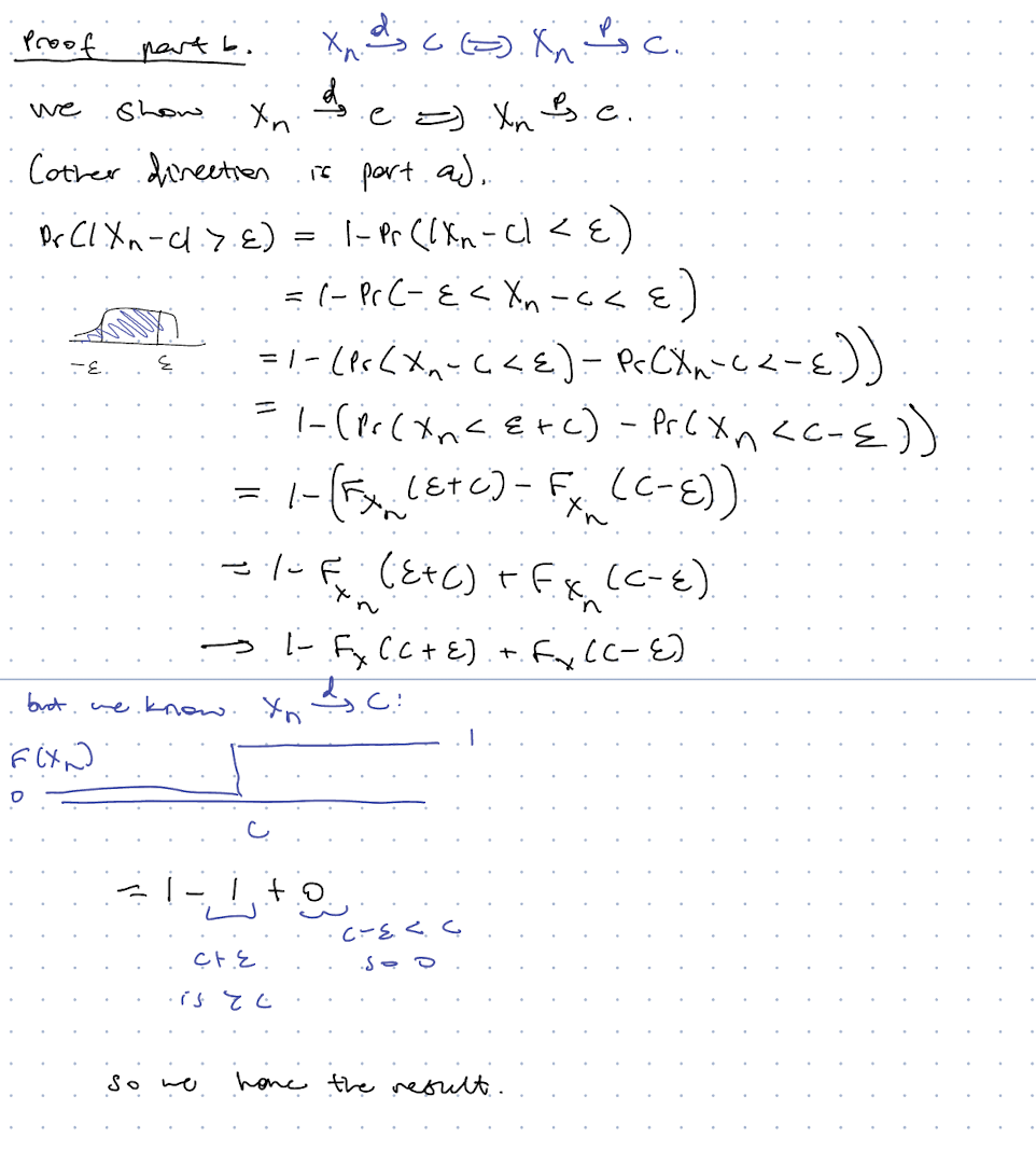
State and prove the relationship between convergence in distribution and convergence in probability for a scalar random variable, when there is not necessarily convergence to a constant.

19
Q

State and prove the relationship between convergence in distribution and convergence in probability for a scalar random variable, when there is convergence to a constant.

20
Q

State the two relationships between convergence in distribution and convergence in probability for vectors.

21
Q

State and prove the relationship between convergence in probability and convergence in distribution for vectors when there is no convergence to a constant.

22
Q

State and prove the relationship between convergence in probability and convergence in distribution for vectors when there is convergence to a constant.

23
Q

Give an example of an RV that converges in distribution but not in probability.

A

I think anything that’s normal? Must rewatch the lectures for this point