Chapter 4 Flashcards

(25 cards)

1
Q

הגדירו “משתנה מקרי”.

A
How well did you know this?
1
Not at all
2
3
4
5
Perfectly
2
Q

הגדירו: “משתנה מציין”

A
How well did you know this?
1
Not at all
2
3
4
5
Perfectly
3
Q

מהי התפלגות של משתנה מקרי X?

A

ההתפלגות של משתנה מקרי X הוא ההסתברות לכל תשובה של X.

How well did you know this?
1
Not at all
2
3
4
5
Perfectly
4
Q

הגדירו: משתנה מקרי בדיד

A
How well did you know this?
1
Not at all
2
3
4
5
Perfectly
5
Q

הגדירו: התפלגות נקודתית של משתנה מקרי בדיד

A
How well did you know this?
1
Not at all
2
3
4
5
Perfectly
6
Q

הגדירו: תומך של משתנה מקרי בדיד

A
How well did you know this?
1
Not at all
2
3
4
5
Perfectly
7
Q

מהי: התפלגות ברנולי?

A
How well did you know this?
1
Not at all
2
3
4
5
Perfectly
8
Q

מהי: התפלגות אחידה?

A
How well did you know this?
1
Not at all
2
3
4
5
Perfectly
9
Q

מהו הסימון FR?

A

FR הוא הסימון לאוסף המאורעות על מרחב המדגם R.

How well did you know this?
1
Not at all
2
3
4
5
Perfectly
10
Q

יהיו X משתנה מקרי, ו- S € FR.

מהי הקבוצה {X € S}?

A
How well did you know this?
1
Not at all
2
3
4
5
Perfectly
11
Q

יהי S € FR.

מהו (PX(S?

A
How well did you know this?
1
Not at all
2
3
4
5
Perfectly
12
Q

הגדירו:

המשתנים המקריים X ו-Y שווים כמעט תמיד.

A
How well did you know this?
1
Not at all
2
3
4
5
Perfectly
13
Q

הגדירו: וקטור מקרי

A
How well did you know this?
1
Not at all
2
3
4
5
Perfectly
14
Q

יהיו Xו-Y משתנים מקריים.

מהי ההתפלגות המשותפת של X ו-Y?

מהי ההתפלגות השולית של X ו-Y?

A

ההתפלגות המשותפת - התוכן הפנימי בטבלה = ההסתברות לכל צירוף של X וY.

ההתפלגות השולית - העמודה הנוספת הימנית ביותר והשורה הנוספת התחתונה ביותר.

How well did you know this?
1
Not at all
2
3
4
5
Perfectly
15
Q

הגדירו:

התפלגות מותנית במאורע

(עם משתנה מקרי X ומאורע A)

A
How well did you know this?
1
Not at all
2
3
4
5
Perfectly
16
Q

הגדירו:

משתנה מקרי X מתפלג לפי התפלגות בינומית.

17
Q

הגדירו:

משתנה מקרי X מתפלג לפי התפלגות גיאומטרית.

18
Q

הגדירו:

המשתנים המקריים Xו-Y בלתי תלויים.

19
Q

מהי תכונת חוסר הזיכרון של משתנה מקרי?

20
Q

למה שווה הפרמטר p במשתנה מקרי גיאומטרי?

A

במשתנה מקרי גאומטרי:

p(X=1) = p

21
Q

הגדירו: התפלגות פואסון

24
Q

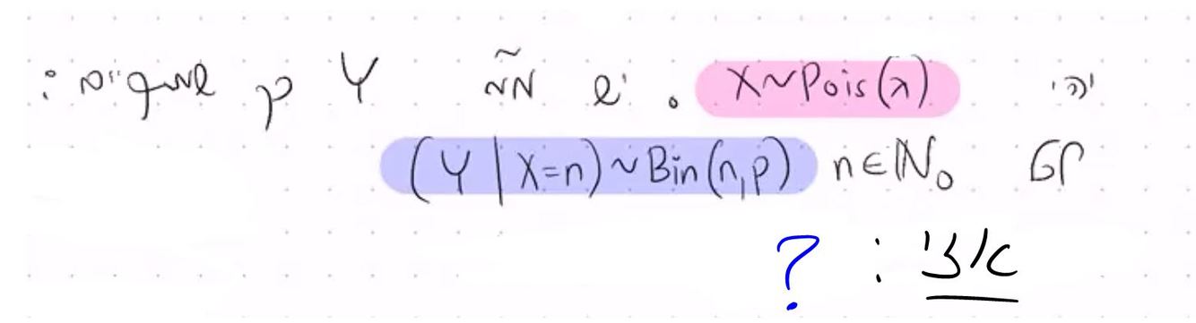
יהיו X ו-Y משתנים מקריים.

מה אומר הסימון הבא?

25
יהיו X ו-Y משתנים מקריים. מה אומר הסימון הבא?