Unit 11 Flashcards

(7 cards)

1
Q

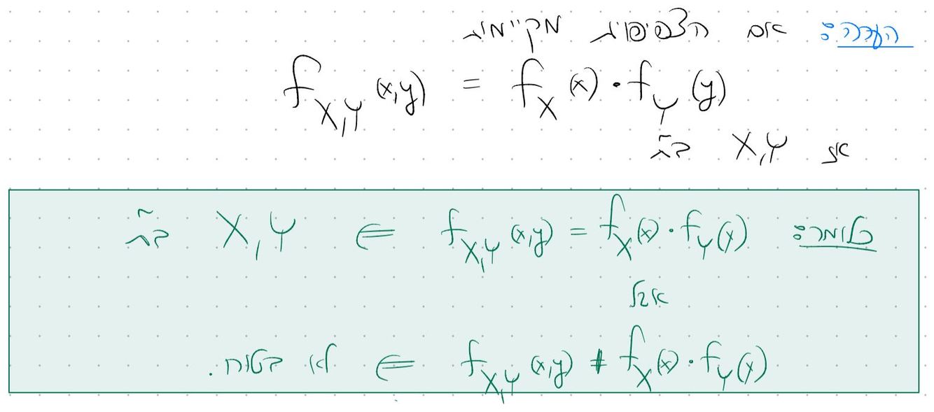
יהיו X וY משתנים מקריים רציפים.

הגדירו:

X וY בלתי תלויים.

A
How well did you know this?
1
Not at all
2
3
4
5
Perfectly
2
Q

יהיו X וY מ”מ רציפים.

מתי נוכל להיעזר בפונקציות הצפיפות שלהם כדי לבדוק האם המ”מ תלויים או לא?

A

כדי להראות שX וY בלתי תלויים - נוכל להסתכל על הצפיפויות. כלומר, נוכל לבדוק האם פונקציית הצפיפות המשותפת שווה למכפלת הצפיפויות השוליות. אם כן אזי X וY בלתי תלויים.

אם נרצה להראות שהם תלויים - לא נוכל להסתכל על הצפיפויות ונצטרך להסתכל על פונקציית ההתפלגות המצטברת.

How well did you know this?
1
Not at all
2
3
4
5
Perfectly
3
Q

יהיו X וY מ”מ רציפים ובלתי תלויים.

מהי פונקציית הצפיפות:

fX+Y(z)

?

A
How well did you know this?
1
Not at all
2
3
4
5
Perfectly
4
Q
A
How well did you know this?
1
Not at all
2
3
4
5
Perfectly
5
Q

מהי נוסחת ההסתברות השלמה למ”מ רציפים?

A
How well did you know this?
1
Not at all
2
3
4
5
Perfectly
6
Q
A
How well did you know this?
1
Not at all
2
3
4
5
Perfectly
7
Q
A
How well did you know this?
1
Not at all
2
3
4
5
Perfectly