Chapter 8 Flashcards

(13 cards)

1
Q

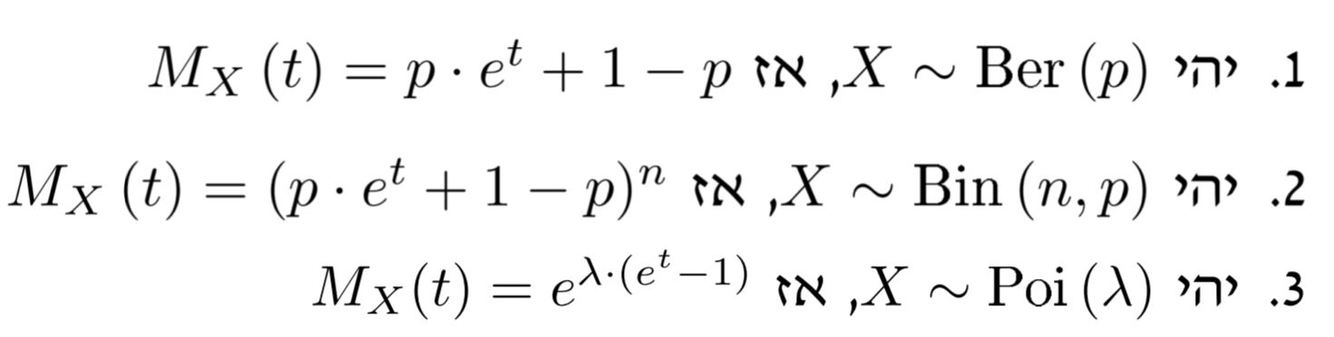
הגדירו:

המומנט מסדר k של המשתנה המקרי X.

A
How well did you know this?
1
Not at all
2
3
4
5
Perfectly
2
Q

הגדירו:

פונקציה יוצרת מומנטים של משתנה מקרי X.

A
How well did you know this?
1
Not at all
2
3
4
5
Perfectly
3
Q

למה קוראים לפונקציה יוצרת המומנטים של X בשם זה?

A

כי אם נגזור k פעמים את הפונקציה יוצרת המומנטים של X, נקבל את המומנט מסדר k של X.

How well did you know this?
1
Not at all
2
3
4
5
Perfectly
4
Q

הסבר:

משתנה מקרי בינומי הוא סכום של משתנים מקריים ברנוליים.

A
How well did you know this?
1
Not at all
2
3
4
5
Perfectly
5
Q
A
How well did you know this?
1
Not at all
2
3
4
5
Perfectly
6
Q
A
How well did you know this?
1
Not at all
2
3
4
5
Perfectly
7
Q
A
How well did you know this?
1
Not at all
2
3
4
5
Perfectly
8
Q
A
How well did you know this?
1
Not at all
2
3
4
5
Perfectly
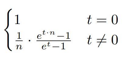
9
Q

חסמו את הביטוי שבתמונה בעזרת אי-שיוויון מרקוב.

A
How well did you know this?
1
Not at all
2
3
4
5
Perfectly
10
Q

חסמו את הביטוי שבתמונה בעזרת אי-שיוויון צ’בישב.

A
How well did you know this?
1
Not at all
2
3
4
5
Perfectly
11
Q

חסמו את הביטוי שבתמונה בעזרת אי-שיוויון צ’רנוף.

A
How well did you know this?
1
Not at all
2
3
4
5
Perfectly
12
Q

חסמו את הביטוי שבתמונה בעזרת אי-שיוויון הופדינג.

A

“Eat a square tuna pudding”

How well did you know this?
1
Not at all
2
3
4
5
Perfectly
13
Q

אילו אי-שוויונות שלמדנו חוסמים את הסתברות הביטוי שבתמונה?

A

מרקוב

צ‘בישב

צ‘רנוף

הופדינג

How well did you know this?
1
Not at all
2
3
4
5
Perfectly