Unit 12b (Statistics) Flashcards

(3 cards)

1
Q

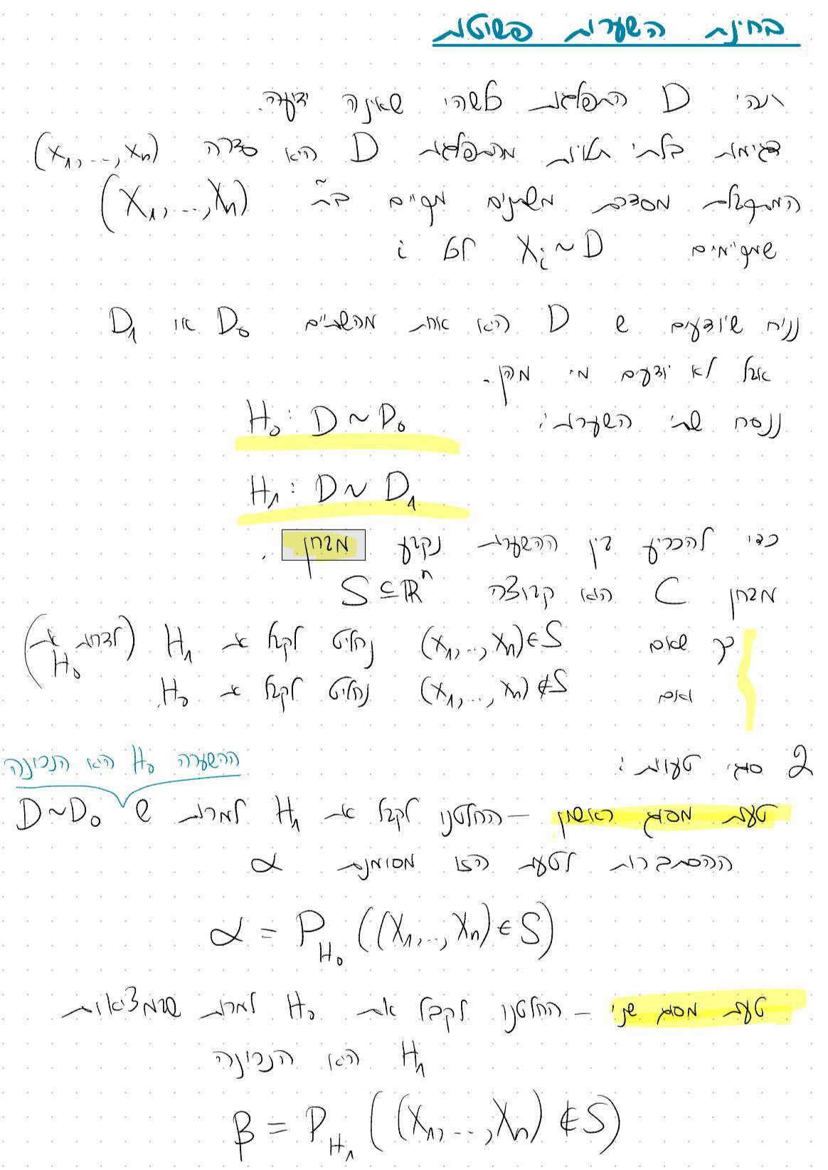
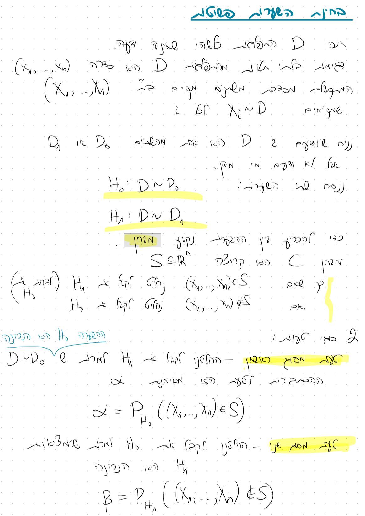
הגדירו: מבחן להכרעה בין השערות פשוטות

A
How well did you know this?
1
Not at all
2
3
4
5
Perfectly
2
Q

מהם שני סוגי הטעויות האפשריים בבואנו לבחון השערות פשוטות?

A

טעות מסוג ראשון: החלטנו לקבל את H1 למרות שעדיף להישאר במצב הנוכחי (H0).

טעות מסוג שני: החלטנו באופן שגוי להישאר בH0.

How well did you know this?
1
Not at all
2
3
4
5
Perfectly
3
Q

הגדירו: מבחן עם יחס נראות.

A

למלא כשאני מבין

How well did you know this?
1
Not at all
2
3
4
5
Perfectly