Chapter 6 Flashcards

(10 cards)

1
Q

הגדירו “שונות”

A
How well did you know this?
1
Not at all
2
3
4
5
Perfectly
2
Q

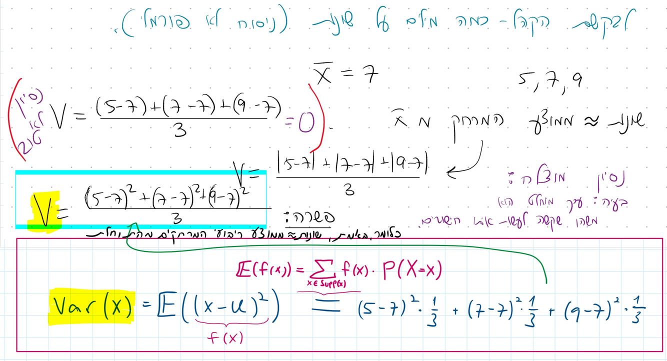
מה האינטואיציה להגדרת “שונות”?

A
How well did you know this?
1
Not at all
2
3
4
5
Perfectly
3
Q

הגדירו “סטיית תקן”

A
How well did you know this?
1
Not at all
2
3
4
5
Perfectly
4
Q
A
How well did you know this?
1
Not at all
2
3
4
5
Perfectly
5
Q

מהן 4 תכונות השונות?

A
How well did you know this?
1
Not at all
2
3
4
5
Perfectly
6
Q
A
How well did you know this?
1
Not at all
2
3
4
5
Perfectly
7
Q
A
How well did you know this?
1
Not at all
2
3
4
5
Perfectly
8
Q
A
How well did you know this?
1
Not at all
2
3
4
5
Perfectly
9
Q
A
How well did you know this?
1
Not at all
2
3
4
5
Perfectly
10
Q
A
How well did you know this?
1
Not at all
2
3
4
5
Perfectly