Chapter 9 Flashcards

(10 cards)

1
Q

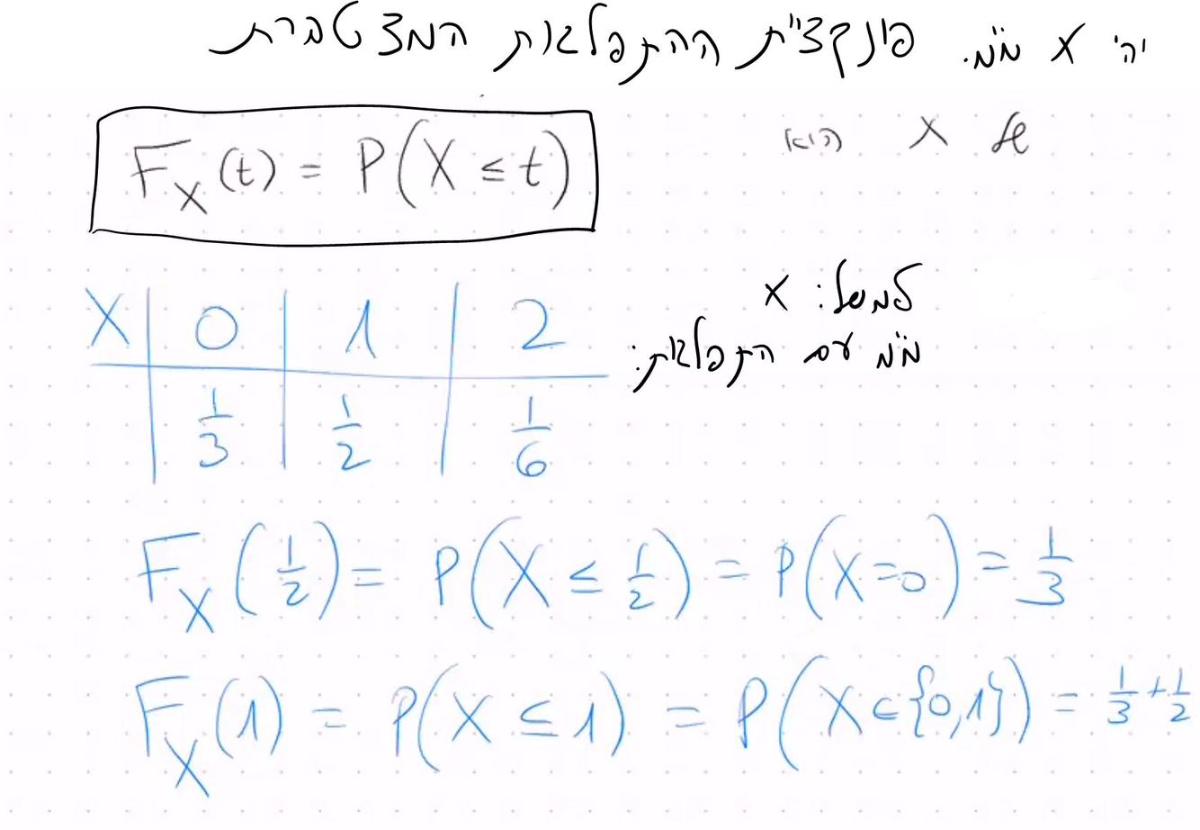
הגדירו: פונקציית התפלגות מצטברת:

A
How well did you know this?
1
Not at all
2
3
4
5
Perfectly
2
Q

הגדירו: משתנה מקרי רציף (בהחלט)

A
How well did you know this?
1
Not at all
2
3
4
5
Perfectly
3
Q

הגדירו: פונקציית צפיפות

A
How well did you know this?
1
Not at all
2
3
4
5
Perfectly
4
Q
A
How well did you know this?
1
Not at all
2
3
4
5
Perfectly
5
Q
A
How well did you know this?
1
Not at all
2
3
4
5
Perfectly
6
Q

יהי X משתנה מקרי רציף.

הגדירו: X מתפלג מעריכית.

A
How well did you know this?
1
Not at all
2
3
4
5
Perfectly
7
Q

אילו משתנים מקריים הם חסרי זיכרון?

A

משתנה מקרי גיאומטרי ומשתנה מקרי מעריכי.

How well did you know this?
1
Not at all
2
3
4
5
Perfectly
8
Q
A
How well did you know this?
1
Not at all
2
3
4
5
Perfectly
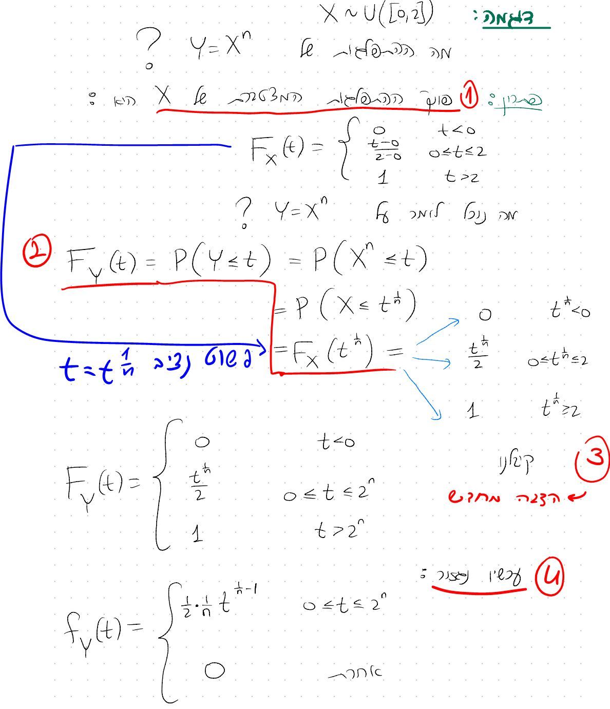
9
Q

מהם השלבים לפתרון השאלה שבתמונה?

A
How well did you know this?
1
Not at all
2
3
4
5
Perfectly
10
Q
A
How well did you know this?
1
Not at all
2
3
4
5
Perfectly