Chapter 5 Flashcards

(15 cards)

1
Q
A
How well did you know this?
1
Not at all
2
3
4
5
Perfectly
2
Q

הגדירו “תוחלת”

A
How well did you know this?
1
Not at all
2
3
4
5
Perfectly
3
Q

אינטואיטיבית - מהי תוחלת?

A

“התוחלת ניתן לתיאור כ- ממוצע משוקלל של ערכי משתנה מקרי ממשי לפי פונקציית ההסתברות הנקודתית”.

ובאופן אפילו יותר אינטואיטיבי:
“התוחלת הוא מושג מתמטי שיתאר תוצאה ממוצעת צפויה של ניסוי”.

-ספר, תחילת פרק 5

How well did you know this?
1
Not at all
2
3
4
5
Perfectly
4
Q

הגדירו: תוחלת של משתנה מקרי על מרחב הסתברות בדידה

A
How well did you know this?
1
Not at all
2
3
4
5
Perfectly
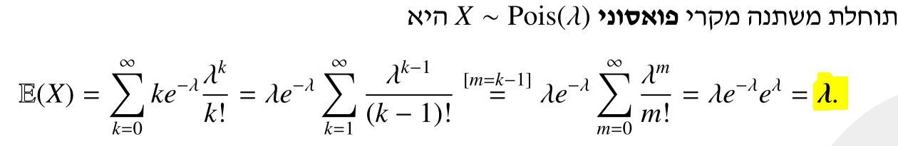
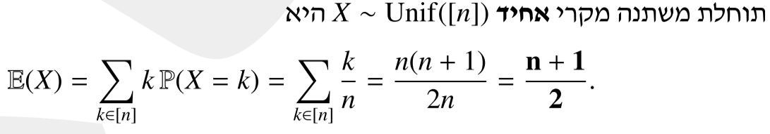
5
Q
A
How well did you know this?
1
Not at all
2
3
4
5
Perfectly
6
Q
A
How well did you know this?
1
Not at all
2
3
4
5
Perfectly
7
Q
A
How well did you know this?
1
Not at all
2
3
4
5
Perfectly
8
Q
A
How well did you know this?
1
Not at all
2
3
4
5
Perfectly
9
Q
A
How well did you know this?
1
Not at all
2
3
4
5
Perfectly
10
Q
A
How well did you know this?
1
Not at all
2
3
4
5
Perfectly
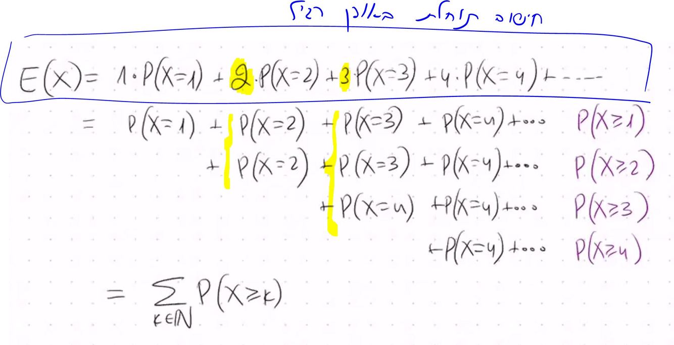
11
Q

איך נחשב תוחלת בעזרת “נוסחת הזנב”?

A
How well did you know this?
1
Not at all
2
3
4
5
Perfectly
12
Q

מה האינטואיציה של “נוסחת הזנב” לחישוב תוחלת?

A
How well did you know this?
1
Not at all
2
3
4
5
Perfectly
13
Q
A
How well did you know this?
1
Not at all
2
3
4
5
Perfectly
14
Q
A

נוסחת התוחלת השלמה

How well did you know this?
1
Not at all
2
3
4
5
Perfectly
15
Q

מהו אי שיוויון מרקוב?

A
How well did you know this?
1
Not at all
2
3
4
5
Perfectly