Unit 10 Flashcards

(10 cards)

1
Q

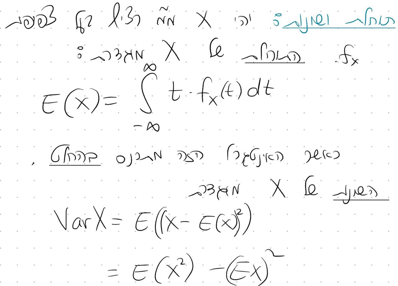
הגדירו: תוחלת ושונות של משתנה מקרי רציף

A
How well did you know this?
1
Not at all
2
3
4
5
Perfectly
2
Q

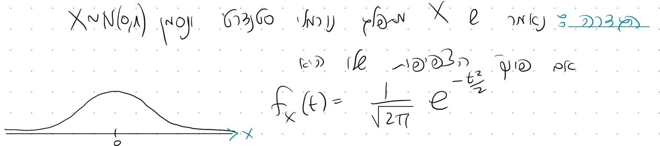
הגדירו: מ”מ X מתפלג נורמלי סטנדרטי

A
How well did you know this?
1
Not at all
2
3
4
5
Perfectly
3
Q

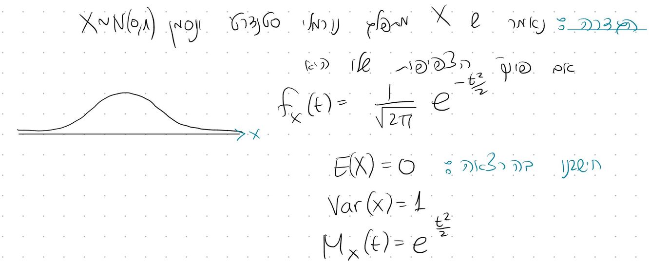
מהם התוחלת, השונות, והפונקציה יוצרת המומנטים של משתנה מקרי המתפלג נורמלי סטנדרטי (“נורמלי מתוקנן”)?

A
How well did you know this?
1
Not at all
2
3
4
5
Perfectly
4
Q

הגדירו: פונקציית התפלגות מצטברת משותפת.

A
How well did you know this?
1
Not at all
2
3
4
5
Perfectly
5
Q

הגדירו: לX ולY יש צפיפות משותפת.

A
How well did you know this?
1
Not at all
2
3
4
5
Perfectly
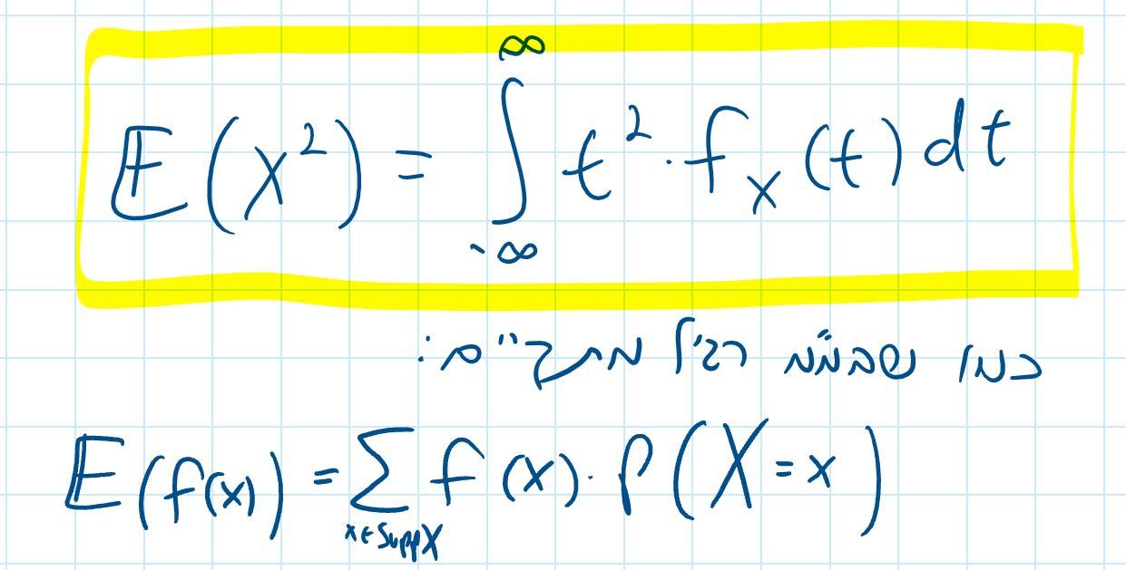
6
Q

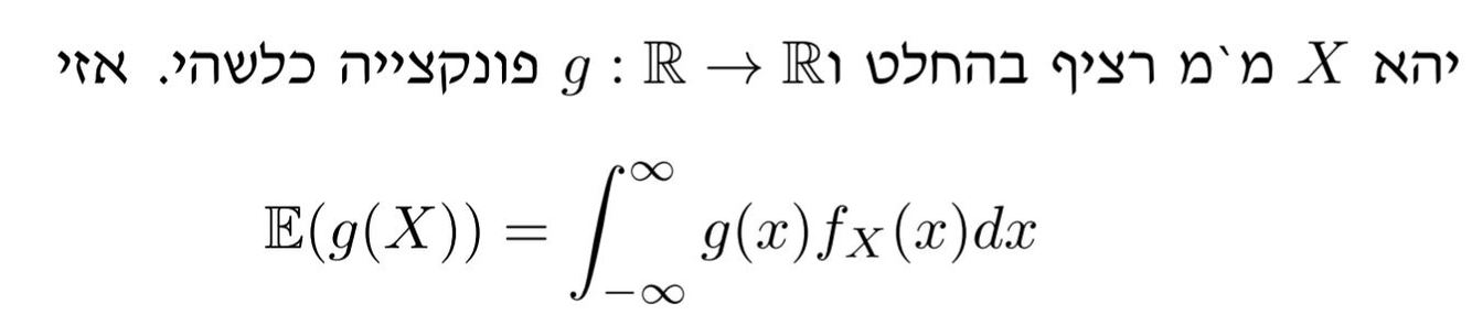
יהי X משתנה מקרי רציף.

למה שווה: E(X2)?

A
How well did you know this?
1
Not at all
2
3
4
5
Perfectly
7
Q
A
How well did you know this?
1
Not at all
2
3
4
5
Perfectly
8
Q
A
How well did you know this?
1
Not at all
2
3
4
5
Perfectly
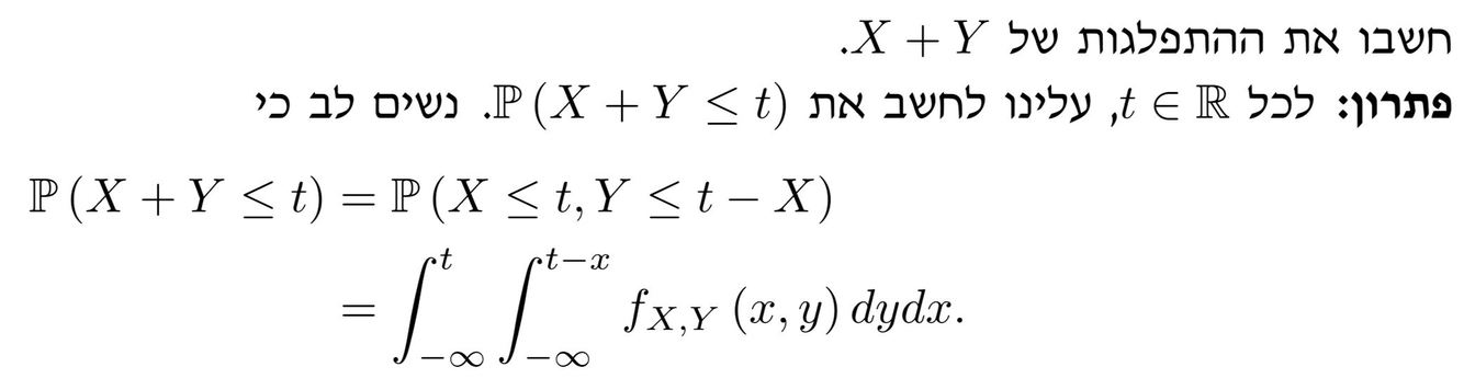
9
Q

יהיו X ו Y מ”מ עם פונקציית צפיפות משותפת.

איך נחשב את ההתפלגות של X+Y?

A
How well did you know this?
1
Not at all
2
3
4
5
Perfectly
10
Q
A
How well did you know this?
1
Not at all
2
3
4
5
Perfectly