Lecture 10 Flashcards

(16 cards)

1
Q

Describe the shape of an M-H curve for a diamagnetic material

A
How well did you know this?
1
Not at all
2
3
4
5
Perfectly
2
Q

An increasing applied magnetic field induces an ___ in any material.

A

EMF

How well did you know this?
1
Not at all
2
3
4
5
Perfectly
3
Q

State Lenz’s Law

A

Induced electric currents produce a magnetic field in the opposite direction to the applied field.

How well did you know this?
1
Not at all
2
3
4
5
Perfectly
4
Q

Where does diamagnetism originate from?

A

At the atomic level, orbital motion is induced by an applied magnetic field and the resulting magnetic moments persist even when the applied field is constant.

How well did you know this?
1
Not at all
2
3
4
5
Perfectly
5
Q

Give the classical equation for angular momentum

A

L = angular momentum
m = mass
v = velocity
r = radius

How well did you know this?
1
Not at all
2
3
4
5
Perfectly
6
Q

What is the direction of angular momentum?

A

Clockwise when looking along L (follow the right hand rule)

How well did you know this?
1
Not at all
2
3
4
5
Perfectly
7
Q

Give the equation for the magnetic moment of an electron orbiting an atom

A

µ = magnetic moment
i = current
A = area

How well did you know this?
1
Not at all
2
3
4
5
Perfectly
8
Q

What is the magnetic moment of an electron orbiting an atom equivalent to?

A

The magnetic moment of a current loop

How well did you know this?
1
Not at all
2
3
4
5
Perfectly
9
Q

What is the direction of magnetic moment?

A

The current is clockwise then looking along µ (follow the right hand rule where the thumb is the current and the fingers are µ).

How well did you know this?
1
Not at all
2
3
4
5
Perfectly
10
Q

Give the equation for the magnetic moment of an electron orbiting an atom in terms of the angular momentum

A

µ = magnetic moment
L = angular momentum

How well did you know this?
1
Not at all
2
3
4
5
Perfectly
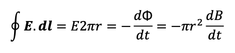
11
Q

How is the electric field due to an electron orbiting an atom calculated?

A

By using Faraday’s law to integrate around the closed circular path of an electron to find the total electric field of the orbit.

How well did you know this?
1
Not at all
2
3
4
5
Perfectly
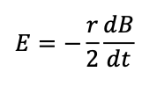
12
Q

Give the equation for the electric field generated by an electron exhibiting orbital motion

A

E = electric field
r = radius of orbit
B = magnetic field
t = time

How well did you know this?
1
Not at all
2
3
4
5
Perfectly
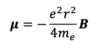
13
Q

Give the equation for the induced magnetic moment due to the induced motion of an electron

A

µ = magnetic moment
B = magnetic field

How well did you know this?
1
Not at all
2
3
4
5
Perfectly
14
Q

Give the equation for the magnetism of a material with N atoms per metre-cubed and Z electrons per atom

A

M = magnetism
N = number density of atoms
Z = number of electrons per atom
ρ = distance of an electron from the z-axis
B = magnetic field

How well did you know this?
1
Not at all
2
3
4
5
Perfectly
15
Q

Give the equation for the magnetic susceptibility of a material with N atoms per metre-cubed and Z electrons per atom

A

χ = magnetic susceptibility
M = magnetism
B = magnetic field
N = number density of atoms
Z = number of electrons per atom
ρ = distance of an electron from the z-axis

How well did you know this?
1
Not at all
2
3
4
5
Perfectly
16
Q

Give the equation for the magnitude of magnetic susceptibility of a material with N atoms per metre-cubed and Z electrons per atom

A

χ = magnetic susceptibility
N = number density of atoms
Z = number of electrons per atom
a_B = Bohr radius
m_e = electron mass