Lecture 8 Flashcards

(21 cards)

1
Q

Classically, what values can the amplitude and energy of a vibrational mode take?

A

Any value

How well did you know this?
1
Not at all
2
3
4
5
Perfectly
2
Q

Quantum mechanically, what values can the energy of a vibrational mode with angular frequency, ω, take?

A

n = positive integer

How well did you know this?
1
Not at all
2
3
4
5
Perfectly
3
Q

What is a phonon?

A

A quantum of vibrational energy.

How well did you know this?
1
Not at all
2
3
4
5
Perfectly
4
Q

Are phonons bosons or fermions?

A

Bosons

How well did you know this?
1
Not at all
2
3
4
5
Perfectly
5
Q

How can the energy of a mode occupied by n phonons of energy ℏω change?

A

It can change by integer multiples of ℏω

How well did you know this?
1
Not at all
2
3
4
5
Perfectly
6
Q

What momentum do phonons behave like they have?

A

p = ℏk

How well did you know this?
1
Not at all
2
3
4
5
Perfectly
7
Q

Give the equation for the change in wavevector when a particle is elastically scattered into a new state by absorbing or emitting a phonon

A

k’ = new state wavevector
k = wavevector
G = reciprocal lattice vector

How well did you know this?
1
Not at all
2
3
4
5
Perfectly
8
Q

Give the equation for the change in wavevector when a particle is inelastically scattered into a new state by absorbing or emitting a phonon

A

k’ = new state wavevector
k = wavevector
K = phonon wavevector
G = reciprocal lattice vector

How well did you know this?
1
Not at all
2
3
4
5
Perfectly
9
Q

Give the equation for the change in energy due to x-ray photon diffraction

A

k = photon wavevector
k’ = new state photon wavevector
K = phonon wavevector

How well did you know this?
1
Not at all
2
3
4
5
Perfectly
10
Q

How does inelastic scattering of an x-ray photon occur?

A

The x-ray is diffracted and scatters which either absorbs or emits a photon.

How well did you know this?
1
Not at all
2
3
4
5
Perfectly
11
Q

What is a thermal neutron?

A

A neutron whose energy is ~kT

How well did you know this?
1
Not at all
2
3
4
5
Perfectly
12
Q

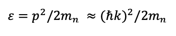
Give the equation for the energy of a neutron

A
How well did you know this?
1
Not at all
2
3
4
5
Perfectly
13
Q

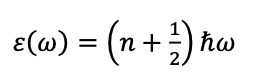
Give the equation for the energy of a phonon

A
How well did you know this?
1
Not at all
2
3
4
5
Perfectly
14
Q

Give the equation for the total thermal energy of a solid consisting of N atoms acting as independent classical harmonic oscillators.

A

U = total thermal energy

How well did you know this?
1
Not at all
2
3
4
5
Perfectly
15
Q

Give the equation for the specific heat of a solid containing N atoms acting as independent classical harmonic oscillators

A
How well did you know this?
1
Not at all
2
3
4
5
Perfectly
16
Q

Describe the change in the measured specific heat of copper with temperature

17
Q

State the Bose-Einstein distribution

18
Q

What is the Bose-Einstein distribution?

A

The average number of phonons in a mode in thermal equilibrium

19
Q

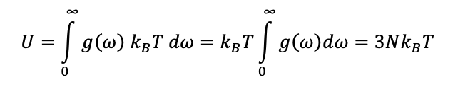
Give the equation for the total thermal energy for a crystal

20
Q

Describe the shape of the curve for the Debye model for specific heat

21
Q

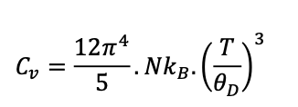
Give the equation for the specific heat using the Debye model