Lecture 4 Flashcards

(21 cards)

1
Q

The donor binding energy is often ____. These donor states are called _______ ______.

A

Small
Shallow donors

How well did you know this?
1
Not at all
2
3
4
5
Perfectly
2
Q

What are hydrogenic donors?

A

Donor states that have a similar electron state to that of an electron in a hydrogen atom.

How well did you know this?
1
Not at all
2
3
4
5
Perfectly
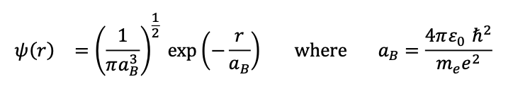
3
Q

Give the equation for the ground state wavefunction of an electron in a hydrogen atom

A
How well did you know this?
1
Not at all
2
3
4
5
Perfectly
4
Q

Why is the Bohr radius of an electron bound to a positively charged donor atom much bigger than that of an electron bound to a hydrogen atom?

A
  • The free electron mass is much smaller than the conduction band effective mass for a semiconductor (m_e* ~ 0.1 m_e).
  • ε0 is replaced by ε0 εr where εr is the dielectric constant of a semiconductor.
How well did you know this?
1
Not at all
2
3
4
5
Perfectly
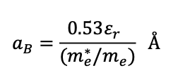
5
Q

Give the equation for the typical Bohr radius of a semiconductor

A
How well did you know this?
1
Not at all
2
3
4
5
Perfectly
6
Q

Give the equation for the typical binding energy of an electron to a donor atom

A
How well did you know this?
1
Not at all
2
3
4
5
Perfectly
7
Q

Why is the binding energy of an electron to a donor atom much smaller than for an electron to a hydrogen atom?

A

The reduced effective mass and increased dielectric constant reduce the overall binding energy.

How well did you know this?
1
Not at all
2
3
4
5
Perfectly
8
Q

Give the equation for the donor energy of an n-type semiconductor with N_D donors per metre cubed

A

∆E_D = donor binding energy

How well did you know this?
1
Not at all
2
3
4
5
Perfectly
9
Q

What happens to the energy states of an extrinsic semiconductor at T=0?

A

All the valence band and donor impurity states will be full so there will be no electrons in the conduction band. The semiconductor will be an insulator.

How well did you know this?
1
Not at all
2
3
4
5
Perfectly
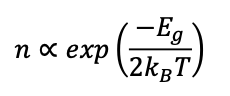
10
Q

What happens to the energy states of an extrinsic semiconductor at kT < ∆E_D?

A

The probability of an electron being excited across the semiconductor bandgap is almost 0. But some electrons can be excited from the donor level to the conduction band. The number in the conduction band can be calculated by determining the number density of conduction band electrons.

How well did you know this?
1
Not at all
2
3
4
5
Perfectly
11
Q

What happens to the energy states of an extrinsic semiconductor at kT ~ ∆E_D?

A

Almost all the electrons from the donors are excited into the conduction band and n ~ N_D. This is because the thermal energy is comparable to the ionisation energy and the number of available states in the conduction band is usually much larger than the number of donors.

How well did you know this?
1
Not at all
2
3
4
5
Perfectly
12
Q

What happens to the energy states of an extrinsic semiconductor when kT»_space; ∆E_D?

A

The number of electrons excited across the bandgap becomes significant and eventually larger than the number of donors. It behaves like an intrinsic semiconductor.

How well did you know this?
1
Not at all
2
3
4
5
Perfectly
13
Q

Describe the graph of the change in the number density of an n-type semiconductor with 1/T

A
How well did you know this?
1
Not at all
2
3
4
5
Perfectly
14
Q

Give the equation for Ohms Law

A

V = IR

How well did you know this?
1
Not at all
2
3
4
5
Perfectly
15
Q

Give the equation for resistivity

A

ρ = AR/L

ρ = resistivity
R = resistance

How well did you know this?
1
Not at all
2
3
4
5
Perfectly
16
Q

Give the equation for conductivity

A

σ = 1/ρ = neµ

ρ = resistivity
σ = conductivity
n = number of charged particles
e = charge
µ = mobility

17
Q

Give the equation for current density

A

j = σE = nev

j = current density
σ = conductivity
E = electric field
n = number of charged particles
e = charge
v = velocity

18
Q

Give the equation for the conductivity in terms of the number of electrons and holes

A

σ = conductivity
neµ_e = electron conductivity
neµ_h = hole conductivity

19
Q

Give the equation for the Hall coefficient for n-type semiconductors

20
Q

Give the equation for the Hall coefficient for p-type semiconductors

21
Q

Give the equation for the Hall coefficient in semiconductors