Lecture 6 Flashcards

(28 cards)

1
Q

Describe the graph of the forces between pairs of atoms

A

Thick line = potential energy as a function of separation
Thin line = harmonic approximation of the potential

How well did you know this?
1
Not at all
2
3
4
5
Perfectly
2
Q

What is the name of the graph describing the forces between pairs of atoms?

A

The Lennard-Jones potential

How well did you know this?
1
Not at all
2
3
4
5
Perfectly
3
Q

Atoms in a crystal can vibrate about their ___________ positions.

A

Equilibrium

How well did you know this?
1
Not at all
2
3
4
5
Perfectly
4
Q

For small amplitude oscillations, the potential energy as a function of separation of neighbouring atoms is _________ (harmonic).

A

Parabolic

How well did you know this?
1
Not at all
2
3
4
5
Perfectly
5
Q

What is the restoring force between neighbouring atoms?

A

The force that brings the two atoms back to their equilibrium separation, proportional to the displacement from equilibrium.

How well did you know this?
1
Not at all
2
3
4
5
Perfectly
6
Q

What analogy can be used to describe the movement of atoms in a crystal?

A

They behave like an array of masses coupled by springs.

How well did you know this?
1
Not at all
2
3
4
5
Perfectly
7
Q

Describe a 1D chain of atoms of mass, m, and a lattice constant, a

A

Blue disks: the equilibrium position of each atom
Yellow disks: the position of each atom in the present of a lattice vibration at some time, t.

The n-th atom is displaced from its equilibrium position by a displacement, u_n.

How well did you know this?
1
Not at all
2
3
4
5
Perfectly
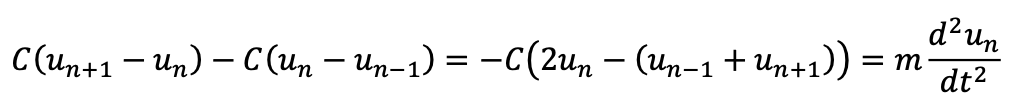
8
Q

Give the equation of motion for a 1D chain of atoms of mass, m, with lattice constant, a

A

C = force constant
u_n = displacement of n-th atom
m = mass

How well did you know this?
1
Not at all
2
3
4
5
Perfectly
9
Q

What is the equation of motion for a 1D chain of atoms of mass, m, with lattice constant, a, equivalent to?

A

The force on the n-th atom (that causes motion) due to the atoms either side of it.

How well did you know this?
1
Not at all
2
3
4
5
Perfectly
10
Q

Give the travelling wave solution for the displacement of the n-th atom in a 1D chain of atoms

A

u_n = displacement of n-th atom
u0 = amplitude
k = wavenumber = 2π/λ
x = na
ω = angular frequency
t = time
a = lattice constant

How well did you know this?
1
Not at all
2
3
4
5
Perfectly
11
Q

Give the equation for the dispersion relationship for vibrations of a monatomic 1D chain of atoms with nearest neighbour harmonic forces

A

ω = angular frequency
k = wavenumber
C = force constant
m = mass
a = lattice constant

How well did you know this?
1
Not at all
2
3
4
5
Perfectly
12
Q

Describe the shape of the dispersion relationship for vibrations of a monatomic 1D chain of atoms with nearest neighbour harmonic forces

A
How well did you know this?
1
Not at all
2
3
4
5
Perfectly
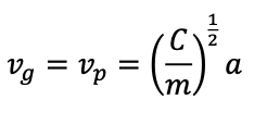
13
Q

Give the equation for the group velocity of the wave from a 1D chain of atoms

A

v_g = group velocity

How well did you know this?
1
Not at all
2
3
4
5
Perfectly
14
Q

Give the equation for the phase velocity of a wave from a 1D chain of atoms

A

v_p = phase velocity

How well did you know this?
1
Not at all
2
3
4
5
Perfectly
15
Q

Describe the value of the wavenumber (k) of a wave from a 1D chain of atoms in the long wavelength limit

A

In this limit k is small

How well did you know this?
1
Not at all
2
3
4
5
Perfectly
16
Q

How is the phase velocity related to the group velocity of a wave from a 1D chain of atoms in the long wavelength limit?

A

The group velocity and phase velocity are equal.

17
Q

Give the equation equating the group and phase velocities for a 1D chain of atoms in the long wavelength limit

A

v_g = group velocity
v_p = phase velocity
C = force constant
m = mass
a = lattice constant

18
Q

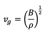
What is the equation for the group velocity equivalent to in the long wavelength limit for a 1D chain of atoms?

A

It has a similar form to that of an elastic continuum where B is the bulk modulus and ρ is the density.

19
Q

What can the long wavelength limit for a 1D chain of atoms be used to describe?

A

It can be used to relate the macroscopic elastic properties of the bulk modulus and density to inter-atomic forces.

20
Q

Describe the value of the wavenumber (k) of a wave from a 1D chain of atoms in the short wavelength limit

21
Q

What are the values of ω(k) and dω/dk in the short wavelength limit for a 1D chain of atoms?

A

ω(k) = non-linear
dω/dk = group velocity = zero

22
Q

Why do the vibrations of atoms in a 1D lattice for a 1D chain of atoms form a standing wave solution in the short wavelength limit?

A

Because k = ± π/a and λ = 2a which forms a solution that can’t propagate with adjacent atoms moving in antiphase (i.e. a standing wave).

23
Q

What is the speed of sound equivalent to in a solid?

A

The group velocity of the atoms

24
Q

All physical vibration modes correspond to k-vectors within the ______ __________ ____.

A

First Brillouin zone

25
What is the region of the first Brillouin zone?
- π/a to + π/a
26
Give the equation for any wavevector outside the first Brillouin zone
k' = wavevector outside the first Brillouin zone k = wavevector inside the first Brillouin zone l = integer a = lattice constant
27
Describe the difference in a wavevector inside the first Brillouin zone compared to outside of it
Red: k-value outside first Brillouin zone (k = 5π/a) Black: k-value inside the first Brillouin zone (k = π/a)
28
Give the equation for the physical displacement of the n-th atom in a 1D chain of atoms given that the wavevector, k, is outside the first Brillouin zone
u_n = displacement of the n-th atom k = wavevector a = lattice constant