Lecture 13 Flashcards

(24 cards)

1
Q

Describe the shape of the M-H curve for magnetically hard materials

A

There is large hysteresis because it is magnetically hard.

How well did you know this?
1
Not at all
2
3
4
5
Perfectly
2
Q

Describe the magnetic moments of a ferromagnet when the temperature is 0K?

A

They’re in an ordered state: all the moments are parallel.

How well did you know this?
1
Not at all
2
3
4
5
Perfectly
3
Q

What is magnetic anisotropy?

A

The dependency of magnetic properties on a preferred crystallographic direction if magnetisation. The preferred directions are called ‘easy axes’.

How well did you know this?
1
Not at all
2
3
4
5
Perfectly
4
Q

What are the 3 physical origins of magnetic anisotropy?

A
  • Crystal
  • Shape
  • Strain
How well did you know this?
1
Not at all
2
3
4
5
Perfectly
5
Q

When does crystalline ferromagnetic anisotropy occur?

A

Anisotropy arises from the arrangement of nearest neighbours. It is highest when there is high symmetry of the crystal and an additional contribution to the energy due to spin-orbit coupling.

How well did you know this?
1
Not at all
2
3
4
5
Perfectly
6
Q

When does strain anisotropy occur?

A

When there is strain that results in the atoms being (slightly) closer together along specific directions, resulting in an anisotropic exchange interaction.

How well did you know this?
1
Not at all
2
3
4
5
Perfectly
7
Q

When does shape anisotropy occur?

A

In non-spherical samples.

How well did you know this?
1
Not at all
2
3
4
5
Perfectly
8
Q

What is a uniformly magnetised ferromagnet?

A

A ferromagnet with a magnetic ‘north’ and ‘south’ pole.

How well did you know this?
1
Not at all
2
3
4
5
Perfectly
9
Q

What is a demagnetising field?

A

The field produced by the poles inside the ferromagnet.

How well did you know this?
1
Not at all
2
3
4
5
Perfectly
10
Q

Give the equation for the energy cost associated with a demagnetising field

A

E_d = energy cost
H_d = demagnetising field§

How well did you know this?
1
Not at all
2
3
4
5
Perfectly
11
Q

Are ferromagnets usually uniformly magnetised?

A

No

How well did you know this?
1
Not at all
2
3
4
5
Perfectly
12
Q

Ferromagnets for _______ _______ to minimize the external magnetic flux, B.

A

Magnetic domains

How well did you know this?
1
Not at all
2
3
4
5
Perfectly
13
Q

Describe the magnetic flux produced by a single domain magnet

A
How well did you know this?
1
Not at all
2
3
4
5
Perfectly
14
Q

Describe an anti-parallel magnetic domain

A

Anti-parallel magnetic domains reduce the external magnetic flux.

How well did you know this?
1
Not at all
2
3
4
5
Perfectly
15
Q

Describe a flux closure domain

A
How well did you know this?
1
Not at all
2
3
4
5
Perfectly
16
Q

What are domain walls?

A

The intermediate region between the two domains of a ferromagnet.

17
Q

Why does a domain wall increase anisotropy energy?

A

Because the magnetisation is not along a low energy direction. A larger length, L, results in a larger increase in energy.

18
Q

Why does a domain wall increase exchange energy?

A

Because the neighbouring moments are not parallel. A larger length, L, results in a smaller increase in energy.

19
Q

Describe the dimensions of a domain wall

A

a = lattice constant
L = wall width
s = moment
N = L/a = number of atoms

20
Q

Give the equation for the width of a domain wall

A

L = wall width
N = number of atoms
a = atomic spacing
s = spin
J = total angular momentum
k = wavenumber

21
Q

Give the equation for the energy per unit area of the domain wall

A

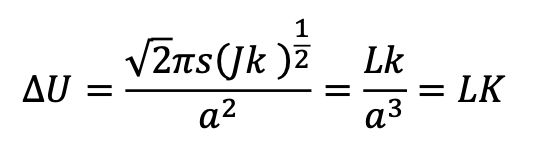
∆U = energy
s = spin
J = total angular momentum
k = wavenumber
a = atomic spacing
L = wall width

22
Q

Describe the position of different domains on the M-H curve of a ferromagnetic material

23
Q

How are magnetic domains used in data storage?

A

Hard drives contain magnetic materials that are magnetised in different directions of magnetisation, allowing data to be stored based on these directions.

24
Q

What value of H-susceptibility is considered ‘low’?