Lecture 7 Flashcards

(29 cards)

1
Q

How do the modes of a crystal change when the basis has more than one atom type?

A

There are additional vibrational modes

How well did you know this?
1
Not at all
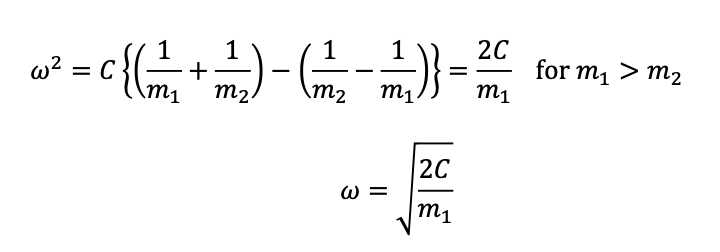
2
3
4
5
Perfectly
2
Q

Describe the model of a diatomic chain of atoms where the masses m1 and m2 (where m1 > m2) alternate

A

a = lattice parameter
u_n = displacement of n-th atom

Atom n is at a distance na from the origin. Atom n+1/2 is at a distance (n+1/2)a from the origin.

How well did you know this?
1
Not at all
2
3
4
5
Perfectly
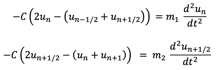
3
Q

Give the two equations of motion for a diatomic chain of atoms

A
How well did you know this?
1
Not at all
2
3
4
5
Perfectly
4
Q

Give the travelling wave solution for the displacement of the n-th atom in a diatomic chain of atoms

A

u_n = displacement of the n-th atom
A = amplitude

How well did you know this?
1
Not at all
2
3
4
5
Perfectly
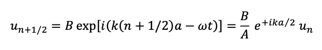
5
Q

Give the travelling wave solution for the displacement of the (n+1/2)-th atom in a diatomic chain of atoms

A

u_n+1/2 = displacement of the (n+1/2)-th atom
B = amplitude

How well did you know this?
1
Not at all
2
3
4
5
Perfectly
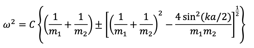
6
Q

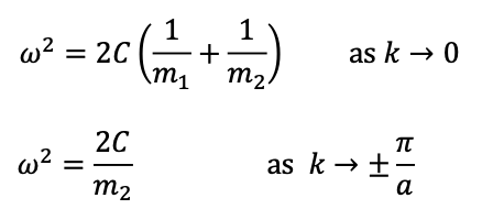
Give the equation for the dispersion relationship for vibrations of a diatomic chain of atoms

A

ω = angular frequency
C = force constant
m1, m2 = mass
k = wavevector
a = lattice constant

How well did you know this?
1
Not at all
2
3
4
5
Perfectly
7
Q

Describe the shape of the dispersion relationship for vibrations of a diatomic chain of atoms with nearest neighbour harmonic forces

A
How well did you know this?
1
Not at all
2
3
4
5
Perfectly
8
Q

What is the optical mode of the dispersion relationship for vibrations of a diatomic chain of atoms?

A

The branch that occurs when the square root term is positive. m1 and m2 oscillate in anti-phase.

How well did you know this?
1
Not at all
2
3
4
5
Perfectly
9
Q

Give the equation for the optical mode of the dispersion relationship for vibrations of a diatomic chain of atoms

A
How well did you know this?
1
Not at all
2
3
4
5
Perfectly
10
Q

Describe the limiting case of the optical mode

A

m1»_space; m2

The heavy atoms are almost stationary and only the light atoms vibrate.

How well did you know this?
1
Not at all
2
3
4
5
Perfectly
11
Q

How can optical modes be driven?

A

By oscillating the electric fields of photons.

How well did you know this?
1
Not at all
2
3
4
5
Perfectly
12
Q

What is the acoustic mode of the dispersion relationship for vibrations of a diatomic chain of atoms?

A

The branch that occurs when the square root term is negative. m1 and m2 oscillate in phase.

How well did you know this?
1
Not at all
2
3
4
5
Perfectly
13
Q

Give the equation for the optical mode of the dispersion relationship for vibrations of a diatomic chain of atoms

A
How well did you know this?
1
Not at all
2
3
4
5
Perfectly
14
Q

What is a longitudinal wave?

A

Atoms that oscillate along the direction of propagation

How well did you know this?
1
Not at all
2
3
4
5
Perfectly
15
Q

What is a transverse wave?

A

Atoms that oscillate perpendicular to the propagation direction. There are two distinct polarisations.

How well did you know this?
1
Not at all
2
3
4
5
Perfectly
16
Q

What are the 3 modes that a 3D crystal has?

A

1 longitudinal mode and 2 transverse modes for each k-value.

17
Q

What are the 4 possible types of modes for a vibrating 1D crystal?

A

LA: longitudinal acoustic mode
TA: transverse acoustic mode
LO: longitudinal optical mode
TO: transverse optical mode

18
Q

Describe the graph of the dispersion relations for a 1D crystal lattice

19
Q

What k-states are allowed for a finite crystal?

A

Only specific quantised k-states

20
Q

There is only one allowed k-state per length ____ of the k-axis in k-space.

21
Q

Give the equation for the total number of allowed states of a 1D chain of atoms in k-space

A

2π/L = area of one allowed k-state
a = lattice constant
N = number of allowed states

22
Q

There is only one allowed k-state per volume ____ of the k-axis in k-space.

23
Q

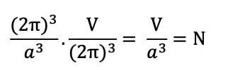
Give the equation for the total number of allowed states of a 3D crystal in k-space

A

(2π)³/V = area of one allowed k-state
a = lattice constant
N = number of allowed states

24
Q

The number of allowed k-states is equal to the number of atoms in the _____ or _______.

25
How many allowed states are there for a 1D chain of atoms / a 3D crystal
3N (from 2 transverse and 1 longitudinal mode)
26
Give the equation for the density of k-states in 1D
27
Give the equation for the density of angular frequency states in 1D
28
Give the equation for the density of k-states in 3D
29
Give the equation for the density of angular frequency states in 3D