Lecture 5 Flashcards

(30 cards)

1
Q

What is a p-n junction?

A

A semiconductor that has been selectively doped to produce an interface between p-type and n-type materials.

How well did you know this?
1
Not at all
2
3
4
5
Perfectly
2
Q

Give 2 examples of semiconductor devices that use p-n junctions

A
  • Diodes
  • Transistors
How well did you know this?
1
Not at all
2
3
4
5
Perfectly
3
Q

Describe the carrier concentrations of a p-n junction

A
How well did you know this?
1
Not at all
2
3
4
5
Perfectly
4
Q

Where is the chemical potential in an n-type semiconductor?

A

Above the middle of the bandgap

How well did you know this?
1
Not at all
2
3
4
5
Perfectly
5
Q

Where is the chemical potential in an p-type semiconductor?

A

Below the middle of the bandgap

How well did you know this?
1
Not at all
2
3
4
5
Perfectly
6
Q

What happens when electrons move from an n-type to a p-type semiconductor?

A

They fill empty valence band states, causing the p-type to become negatively charged and the n-type to become positively charged.

How well did you know this?
1
Not at all
2
3
4
5
Perfectly
7
Q

What happens when a p-n junction reaches dynamic equilibrium?

A
  • The p-type electron energy levels rise with respect to the n-type material (band bending).
  • A large electric field is produced close to the p-n interface to offset the movement of electrons.
  • The chemical potential is constant throughout the device.
How well did you know this?
1
Not at all
2
3
4
5
Perfectly
8
Q

What is the depletion region?

A

The absence of electrons and holes close to the interface of a p-n junction

How well did you know this?
1
Not at all
2
3
4
5
Perfectly
9
Q

Give the equation for the electrostatic voltage drop across a p-n junction

A

∆φ = electrostatic voltage drop
n_i = intrinsic electron density if the semiconductor was undoped

How well did you know this?
1
Not at all
2
3
4
5
Perfectly
10
Q

Describe the graphs for the carrier densities and the net charge densities through the depletion region of a p-n junction

A
How well did you know this?
1
Not at all
2
3
4
5
Perfectly
11
Q

What is the charge density in the n-type half of the depletion region?

A
How well did you know this?
1
Not at all
2
3
4
5
Perfectly
12
Q

What is the charge density in the p-type half of the depletion region?

A
How well did you know this?
1
Not at all
2
3
4
5
Perfectly
13
Q

The total charge of the depletion region must be ____ as the number of electrons removed from the left ______ the number of holes filled on the right.

A

Zero
Equals

How well did you know this?
1
Not at all
2
3
4
5
Perfectly
14
Q

State Poisson’s equation

A

φ = electrostatic voltage drop
x = position
ρ = charge density

How well did you know this?
1
Not at all
2
3
4
5
Perfectly
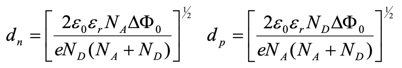
15
Q

Give the equation for the depletion width of a p-n junction

A

d_n = n-type depletion width
d_p = p-type depletion width

How well did you know this?
1
Not at all
2
3
4
5
Perfectly
16
Q

How does a p-n junction produce a ‘generation current’?

A

The electron-hole pairs created in the depletion region move parts in the strong electron field. This produces a generation current in the negative x direction.

17
Q

Give the equation for the generation current density

A

J_gen = generation current
A = positive constant
E_g = bandgap energy

18
Q

How goes the p-n junction produce a ‘recombination current’?

A

Electrons in the conduction band with energies grater than e∆φ can move into the p-type material where they recombine with holes. This produces a recombination current in the positive x direction.

19
Q

Give the equation for the recombination current density

A

J_rec = recombination current
B = constant
e∆φ = electrostatic voltage difference

20
Q

What happens as a result of recombination in direct bandgap semiconductors?

A

A photon is emitted (like in LED lights)

21
Q

What is a forwards bias p-n junction?

A

A p-n junction where the p-type region is biased positive with respect to the n-type region.

The bias voltage is dropped across the depletion region since the carrier density is low, hence, resistivity is high.

22
Q

Give the equation for the total potential difference across the depletion layer of a forwards bias p-n junction

23
Q

What is a reverse bias p-n junction?

A

A p-n junction where the p-type region is biased negative with respect to the n-type region.

24
Q

Give the equation for the total potential difference across the depletion layer of a reverse bias p-n junction

25
Give the equation for the relationship between current density and voltage for a p-n junction
J = current V = voltage
26
Describe the graph for the current-voltage characteristics through a p-n junction
27
p-n junctions can be used for the rectification of __ signals to __.
AC DC
28
Are light emitting diodes (LEDs) forward bias or reverse bias? Why?
Forward bias The electrons recombine with the holes, which emits a photon.
29
Are direct-bandgap or indirect-bandgap semiconductors better for LEDs? Why?
Direct-bandgap semiconductors. Photon emission occurs in these semiconductors, so they are used to make efficient LEDs. Also, there is a low probability of radiative recombination and a requirement of phonon absorption/emission in indirect-bandgap semiconductors which is they way that these devices emit photons: this is a very inefficient process.
30
How do solar cells work?
Photons of energy greater than the bandgap produce electron-hole pairs in the depletion region of a p-n junction. The strong electric field generated causes the electrons to move into the n-type material and holes into the p-type material. This generates a net current (aka electrical power).