Lecture 14 Flashcards

(38 cards)

1
Q

What is a superconductor?

A

A conductor who’s measured resistance goes to exactly zero at a given critical temperature.

How well did you know this?
1
Not at all
2
3
4
5
Perfectly
2
Q

What are the 3 ways that semiconductors can be formed?

A
  • In bulk at low temperature and at ambient pressure
  • In bulk at high pressure
  • In modified form
How well did you know this?
1
Not at all
2
3
4
5
Perfectly
3
Q

Give 2 applications of superconductors

A
  • MRI scanners: can provide fields up to 18T
  • Quantum computing: superconducting qubit
How well did you know this?
1
Not at all
2
3
4
5
Perfectly
4
Q

Are ferromagnets superconductors?

A

No because superconductors require electrons to pair up

How well did you know this?
1
Not at all
2
3
4
5
Perfectly
5
Q

Which metals cannot be used as superconductors?

A

Metals with the highest room temperature conductivities. They are good conductors but not superconductors.

How well did you know this?
1
Not at all
2
3
4
5
Perfectly
6
Q

Which metals can be used as high Curie temperature superconductors?

A

Metals with the lowest room temperature conductivities.

How well did you know this?
1
Not at all
2
3
4
5
Perfectly
7
Q

What does the Curie Temperature of elements depend on?

A

The isotopic mass (A) and the lattice properties of the element

How well did you know this?
1
Not at all
2
3
4
5
Perfectly
8
Q

Describe the change in resistance of a normal metal with temperature

A

It normally decreases as temperature is reduced because the number of phonons in reduced.

For a pure metal this resistance tends to zero as temperature tends to zero but for one with impurities it tends to a finite resistance.

How well did you know this?
1
Not at all
2
3
4
5
Perfectly
9
Q

How can a metal be tested to see if it is a superconductor?

A
  1. Establish a current in a loop of a ‘superconductor’.
  2. Measure the current very precisely by measuring the magnetic field produced using NMR.
  3. If there is no decay of current over time then it is a superconductor as it has no resistance.
How well did you know this?
1
Not at all
2
3
4
5
Perfectly
10
Q

What is the decay time of a superconductor?

A

100,000 years

How well did you know this?
1
Not at all
2
3
4
5
Perfectly
11
Q

What is the critical current density of a superconductor?

A

The current density at (and above) which superconductivity is destroyed.

How well did you know this?
1
Not at all
2
3
4
5
Perfectly
12
Q

What is the critical field of a superconductor?

A

The magnetic field at (and above) which superconductivity is destroyed.

How well did you know this?
1
Not at all
2
3
4
5
Perfectly
13
Q

What is the critical flux density of a superconductor?

A

The flux density at (and above) which superconductivity is destroyed.

How well did you know this?
1
Not at all
2
3
4
5
Perfectly
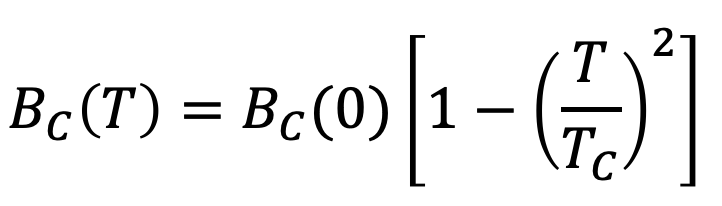
14
Q

Give the equation for the critical flux density of a superconductor

A

B_c = critical flux density
T = temperature
T_c = Curie temperature

How well did you know this?
1
Not at all
2
3
4
5
Perfectly
15
Q

What is the Meissner effect?

A

If a superconductor is cooled in a magnetic field, all magnetic flux is ejected from the interior of the superconductor at the critical temperature. This is true when the magnetic field is smaller than the critical field.

B = 0 inside the superconductor

How well did you know this?
1
Not at all
2
3
4
5
Perfectly
16
Q

Give the equation for the change in magnetic field of a perfect conductor (one where E = 0)

17
Q

Describe how a perfect conductor reacts to being cooled below the Curie temperature whilst a magnetic field is applied

A

a = no initial field
b = applied field

When the perfect conductor is cooled below the Curie temperature whilst in an applied magnetic field, the field becomes trapped. within the conductor even if the external magnetic field is removed.

18
Q

Describe how a conductor reacts to being cooled below the Curie temperature whilst a magnetic field is applied

A

c = no initial field
d = applied field

When a semiconductor is cooled below the Curie temperature whilst in an applied magnetic field, the field is expelled from inside the conductor so cannot be trapped when the external magnetic field is removed. This is a quantum effect

19
Q

Why is the magnetic flux expelled from the bulk of a superconductor?

A

Because surface super currents produce a magnetic field equal and opposite to the applied field.

20
Q

Give the equation for the magnetic field in the bulk of a superconductor

A

B = magnetic field
M = magnetism

21
Q

Give the equation for the magnetic susceptibility of a superconductor

A

χ = magnetic susceptibility
M = magnetisation

22
Q

A superconductor exhibits _______ diamagnetism.

23
Q

For a superconductor M = __.

24
Q

What is a type I superconductor?

A

A superconductor that expels all flux from the bulk material up to a critical field, H_c. The superconductivity is destroyed above this critical field.

25
The critical field is small for type _ superconductors.
I
26
Almost all elemental superconductors are type _.
I
27
What is a type II superconductor?
A superconductor that expels all flux from the bulk material up to a lower critical field, H_c1. Above this critical field the magnetic flux penetrates through regions of the material which become normal while other regions are still superconducting. The superconductivity of a type II superconductor is totally destroyed at the upper critical field, H_c2.
28
What is the name for the state between H_c1 and H_c2 of a type II superconductor?
The 'mixed state' or the 'vortex state'
29
What is the main use of type II superconductors?
To make superconducting magnets
30
Describe the graph of -µM against H for both type I and type II superconductors
31
Describe a crystal in a mixed/vortex state
32
The transition from the normal to the superconducting state is a _____ _____ ______ _________.
Second order phase transition
33
Compare the energy of electrons in the superconducting state compared to the normal state.
The electrons in the superconducting state have a lower energy than the electrons in the normal state.
34
Define Gibbs free energy
The maximum amount of reversible work that can be recovered from a system at constant temperature and pressure.
35
Describe the Gibbs free energies at the Curie temperature
The Gibbs free energy is the same in both normal and superconducting states.
36
Give the equation for the change in Gibbs free energy of a system due to an applied flux
dG = change in Gibbs free energy M = magnetism B = applied flux
37
Give the equation for the Gibbs free energy of a superconductor
G_s = Gibbs free energy B = magnetic flux
38
Give the equation for the difference in Gibbs free energy between a superconducting state and a normal state
G_s = Gibbs free energy B = magnetic flux = 0 B_c = critical flux