Lecture 15 Flashcards

(45 cards)

1
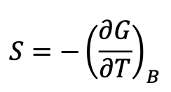
Q

Give the equation for the entropy of a system

A

S = entropy
∂G = change in Gibbs free energy
∂T = change in temperature

How well did you know this?
1
Not at all
2
3
4
5
Perfectly
2
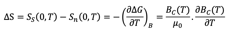
Q

Give the equation for the difference in entropy between the superconducting and the normal to the state

A

∆S = change in entropy
∂G = change in Gibbs free energy
∂T = change in temperature
B = magnetic flux = 0
B_c = critical flux

How well did you know this?
1
Not at all
2
3
4
5
Perfectly
3
Q

When does the change in entropy for a system equal 0? Why?

A

At the Curie temperature because the critical field equals 0 at this point.

How well did you know this?
1
Not at all
2
3
4
5
Perfectly
4
Q

Why isn’t there any latent heat for the transition from the normal to the superconducting state?

A

Because this transition occurs without a discontinuity in entropy.

How well did you know this?
1
Not at all
2
3
4
5
Perfectly
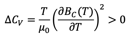
5
Q

Give the equation for the difference in the specific heat at constant volume between the superconducting and the normal

A

∆C_v = change in specific heat
T = temperature
∆S = change in entropy
B_c = magnetic flux

How well did you know this?
1
Not at all
2
3
4
5
Perfectly
6
Q

Give the equation for the difference in the specific heat at constant volume between the superconducting and the normal to the state at the Curie temperature

A

∆C_v = change in specific heat
T = temperature
B_c = magnetic flux

How well did you know this?
1
Not at all
2
3
4
5
Perfectly
7
Q

Describe the graph of specific heat against temperature for a superconducting and a normal state

A

There is a sharp rise in the specific heat at the Curie temperature of a superconductor due to the onset of ordering of the conduction electrons.

How well did you know this?
1
Not at all
2
3
4
5
Perfectly
8
Q

Describe the graph of the resistivity and the specific heat against T/T_c for a superconductor

A
How well did you know this?
1
Not at all
2
3
4
5
Perfectly
9
Q

Give the equation for electronic specific heat

A

C_v-el = electronic specific heat
C0 = constant
E_g = bandgap energy ~ (7/2)(k_B)(T_c)
T = temperature

How well did you know this?
1
Not at all
2
3
4
5
Perfectly
10
Q

What range is the electronic specific heat equation valid for?

A
How well did you know this?
1
Not at all
2
3
4
5
Perfectly
11
Q

The electronic specific heat presents the same behaviour as the number of _______ and _____ in a semiconductor.

A

Electrons
Holes

How well did you know this?
1
Not at all
2
3
4
5
Perfectly
12
Q

Describe the graph of electronic specific heat against 1/T

A
How well did you know this?
1
Not at all
2
3
4
5
Perfectly
13
Q

Compare the energy bands of a semiconductor to the energy states of a superconductor

A

They are equivalent

How well did you know this?
1
Not at all
2
3
4
5
Perfectly
14
Q

How can the energy gap of a semiconductor be measured?

A

By measuring photon absorption

How well did you know this?
1
Not at all
2
3
4
5
Perfectly
15
Q

How can the bandgap of a superconductor be measured?

A

By measuring microwave photon absorption (as the bandages are only a few meV).

How well did you know this?
1
Not at all
2
3
4
5
Perfectly
16
Q

What does the BCS theory of superconductivity explain?

A
  • Attraction between pairs of electrons.
  • How bound electron ‘Cooper pairs’ can form.
  • How Cooper pairs can form a collective ground state of lower energy than that of the normal electron states.
How well did you know this?
1
Not at all
2
3
4
5
Perfectly
17
Q

What are Cooper pairs?

A

Composite bosons made of bound electron pairs. They are formed by attraction between electrons via a lattice.

How well did you know this?
1
Not at all
2
3
4
5
Perfectly
18
Q

Describe the interaction between two electrons in free space

A

There is a strong Coulombic repulsion

How well did you know this?
1
Not at all
2
3
4
5
Perfectly
19
Q

Why do metals have no net charge?

A

The conduction electrons move through a lattice of positive ions and the charges balance out.

20
Q

Describe how electrons can locally distort a crystal lattice

21
Q

Describe how electrons can attract one another in a lattice

A
  • A single electron distorts a crystal lattice by attracting positive ions towards it.
  • The electron then leaves at the Fermi velocity which is faster than the speed of lattice distortion (the speed of sound).
  • This leaves a trail of net positive charge behind the electron which attracts other electrons.
22
Q

What is the approximate value of the Fermi velocity

23
Q

What is the approximate value of the speed of sound in a crystal lattice

24
Q

Is attraction between electrons in a crystal direct or indirect?

25
What causes the attraction between electrons in a crystal?
Phonon exchange
26
Attraction between electrons via a lattice can produce _____ ________ _____.
Bound electron pairs
27
When is Cooper pair production possible?
- If the electron wavevectors are -k and +k. - If the modulus of the wavevector is equal to the Fermi wavevector. - If the electrons have opposite spin (S = 0 for the pair). - If the electrons have zero angular momentum (L = 0).
28
What is the binding energy per electron of a Cooper pair?
∆(T)
29
What is the binding energy per pair of a Cooper pair?
2∆(T)
30
What is the size of the binding energy of a Cooper pair?
~ a few meV
31
Why are Cooper pairs composite bosons?
Because they have no net spin
32
The superconducting transition is a form of ____-_______ _________.
Bose-Einstein condensation
33
What happens when Cooper pairs condense?
They condense into the superconducting ground state below T_c.
34
Cooper pairs are all described by the same _________ ___________.
Macroscopic wavefunction
35
How does the binding energy per Cooper pair change with an the number of pairs?
The binding energy per Cooper pair increases as the number of pairs increases.
36
Describe a zero supercurrent Cooper pair
The electrons have the wavevectors +k and -k. The centre of mass of the pair is at k = 0.
37
Describe a Cooper pair with a supercurrent
The centre of mass of the pairs has a wavevector, K alongside the electron wavevectors of +k and -k.
38
Give the equation for the average distance between the electrons in a Cooper pair
ζ = BCS coherence length ∆(0) is the energy gap at T = 0
39
What conditions are required for the scattering of a Cooper pair?
The reduction of kinetic energy must be greater than or equal to the pair binding energy (2∆).
40
Describe the wavevectors of a Cooper pair with no supercurrent, with a supercurrent, and after scattering
41
Give the equation for the current density
j = current density n = density of electrons q = charge v = particle velocity
42
Give the equation for the initial total energy of the Cooper pair of electrons before scattering
Ei = initial total energy K = Cooper pair wavevector k = electron wavevector m_e = electron mass
43
Give the equation for the final total energy of the two normal electrons after scattering
Ef = final total energy
44
Give the equation for the critical pair velocity of a Cooper pair
v_c = critical pair velocity ∆ = binding energy
45
Give the equation for the critical current density of a Cooper pair
j_c = critical current density n = density of electrons v_c = critical pair velocity ∆ = binding energy