stat.module7-complet Flashcards

(54 cards)

1
Q

lorsqu’on s’intéresse à une variable qualitative, qu’est ce qu’on compare

A

des proportions, pas des moyennes!

How well did you know this?
1
Not at all
2
3
4
5
Perfectly
2
Q

avec quoi peut on comparer des proportions (P)?
(donnez les 3 situations dans le ppt))

A
  1. Une proportion d’un échantillon avec une proportion théorique connue (P)
  2. les proportions de ≥ 2 groupes indépendants
  3. les proportions de 2 séries appariées
How well did you know this?
1
Not at all
2
3
4
5
Perfectly
3
Q

Vrai ou Faux. contrairement à avec des moyennes, il n’Est pas possible de faire l’approche par IC pour comparer des proportions

A

Faux. on peut calculer l’IC d’une proportion

(si P n’est pas inclu dans IC 95%, on a 95% de certitude que P(population) ≠ p(échantillon))

How well did you know this?
1
Not at all
2
3
4
5
Perfectly
4
Q
  1. quelle est cette formule?
  2. quelle est la condition pour l’utiliser?
A
  1. comparaison d’une proportion (échantillon) avec une proportion théorique connue (P) par approche IC
  2. n × p ≥ 10 et n × (1-p) ≥ 10
How well did you know this?
1
Not at all
2
3
4
5
Perfectly
5
Q

est ce qu’on peut utiliser l’approche par IC dans cet exemple?
question: % de chien obèse au Qc est elle ≠ 40%?
n=100 chiens, n obèses=30 n sain=70, p=0.30

A

oui.

How well did you know this?
1
Not at all
2
3
4
5
Perfectly
6
Q

trouvez l’IC 95% avec ces données
question: % de chien obèse au Qc est elle ≠ 40%?
n=100 chiens, n obèses=30 n sain=70, p=0.30

A
How well did you know this?
1
Not at all
2
3
4
5
Perfectly
7
Q

l’IC obtenu avec ces données est de 21%-39%,
que concluez-vous par rapport à la question?

A

Comme 40% n’est pas dans l’IC 95%, la proportion de chiens obèses au QC est probablement différente de 40%…

How well did you know this?
1
Not at all
2
3
4
5
Perfectly
8
Q

lisez la mise en situation.
de quel type de variable s’agit-il?
A. Quantitative
B. Qualitative nominale
C. Qualitative binaire
D. Qualitative ordinale

A

C. qualitative binaire

How well did you know this?
1
Not at all
2
3
4
5
Perfectly
9
Q

lisez la mise en situation.
quel test statistique est approprié?
A. IC 95% pour µ de tiques
B. IC 95% pour 1 proportion
C. IC 95% pour 2 proportions

A

B. IC 95% pour 1 proportion

How well did you know this?
1
Not at all
2
3
4
5
Perfectly
10
Q

lisez la mise en situation.
quelles sont les conditions d’application?
A. n ≥ 30 ou distribution Normale
B. Variances égales ou n1 = n2
C. n×p et n×(1-p) ≥ 10
D. n×p et n×(1-p) > 10

A

C. n×p et n×(1-p) ≥ 10

How well did you know this?
1
Not at all
2
3
4
5
Perfectly
11
Q

lisez la mise en situation.
les conditions sont respectée
A. Vrai
B. Faux

A

A. Vrai

n=361
p≈0.183
(nxp=66, nx(1-p)≈295 ; donc ≥ 10)

How well did you know this?
1
Not at all
2
3
4
5
Perfectly
12
Q

lisez la mise en situation.
l’IC 95% est…
A. 14-22%
B. 12-25%
C. 21-32%
D. 43-54%

A

A. 14-22%

How well did you know this?
1
Not at all
2
3
4
5
Perfectly
13
Q

lisez la mise en situation.
La proportion en 2014 est différente de 20%
A. Vrai
B. Faux

A

A. Faux

(IC 95%= 14%-22%, 20% est inclu dans cet IC)

How well did you know this?
1
Not at all
2
3
4
5
Perfectly
14
Q

qu’est ce que la table de contingence?

A

Une table qui montre le nombre d’observations pour chacune des combinaisons possibles de 2 variables qualitatives

How well did you know this?
1
Not at all
2
3
4
5
Perfectly
15
Q

lorsqu’on parle de variables binaires, comment peut on également appeler la table de contingence?

A

table 2 x 2

How well did you know this?
1
Not at all
2
3
4
5
Perfectly
16
Q

faites la table de contingence pour ces variables binaires: survie et groupes de traitements
(inventez des n)

A
How well did you know this?
1
Not at all
2
3
4
5
Perfectly
17
Q

quels types de variables peuvent être analysées avec la table de contingence?

A

qualitative (Binaire, Nominale, Ordinale)
quantitative catégorisée (donc rendue qualitative)

How well did you know this?
1
Not at all
2
3
4
5
Perfectly
18
Q

identifiez 1-6 sur cette image d’une table de contingence

A
  1. cellule
  2. marges (total de chaque colonne et de chaque rangée)
  3. n ou n total (nombre total d’observations)
  4. contenu de la cellule rangée R2 et colonne C2
  5. marge pour colonne C1
  6. marge pour rangée R2
How well did you know this?
1
Not at all
2
3
4
5
Perfectly
19
Q

que permet de tester le test X2 de pearson?

A

l’indépendance des variables

How well did you know this?
1
Not at all
2
3
4
5
Perfectly
20
Q

pour le test X2 de pearson, à quoi correspond H0?

A

H0: il n’y a pas d’association entre les variables
c-a-d: elles sont indépendantes

How well did you know this?
1
Not at all
2
3
4
5
Perfectly
21
Q

établissez H0 et HA pour un test X2 de pearson avec cette mise en situation: Groupe de traitement (A vs. B) et maladie (sain vs. malade)

A

H0: pas d’association entre traitement et maladie OU
La proportion de malades dans le groupe Tx A n’est pas différente de la proportion de malades dans le groupe Tx B

HA: Il y a une association entre les variables
OU
la proportion de chacun des groupes sont différentes

How well did you know this?
1
Not at all
2
3
4
5
Perfectly
22
Q

pour le test X2 de pearson, que veut on dire par “H0= la proportion de chacun des groupes ne sont pas différentes “

A

connaitre une variable ne permet pas de prédire l’autre, car elles sont indépendantes
exemple :
var.: maladie (sain/malade) et traitement (A/B)
->H0 suppose qu’il n’y a pas de relation entre les deux variables et donc que logiquement, on ne devrait pas retrouver plus d’individus malade dans le groupe subissant le traitement B)

23
Q

V ou F, lorsqu’on a plus que deux groupes, le test X2 de pearson n’indique pas quels groupes sont différents entre eux

24
Q

si H0 est vraie ( variables sont indépendantes) , la probabilité attendue d’avoir une certaine combinaison de variables sera égale à _______?

A

probabilité d’avoir une caractéristique × probabilité d’avoir l’autre caractéristique

25
que signifie ce symbole?
et
26
expliquez cette formule
27
à quoi sert cette formule?
formule plus directe pour calculer la fréquence attendue d'une cellule
28
quel est le principe du test chi-carré (X2)?
compare les fréquences observées aux fréquences attendues en supposant indépendance entre les variables (c.-à-d. si H0 est vraie)
29
si on observe un grand écart entre les fréquences attendues et observées, les variables sont probablement indépendantes
Faux. c'est plutôt compatible avec une association entre ces variables
30
quelle est cette formule? expliquez-la
test chi-carré (X2) (somations différences)
31
dans cette formule, pourquoi divise-t-on par E (expected) et non par O (observé)?
car il est possible d'obtenir 0 données en pratique. -> mais il n'y aura jamais 0 attendu (pas pratique de diviser par 0)
32
v ou f. contraitrement à la loi t de student, la forme de la loi du X2 ne varie pas en fonction du degré de liberté
F. varie selon les degrés de liberté
33
comment calcule-t-on le degré de liberté pour une loi de X2
Degrés de liberté = (nombre de rangées−1) × (nombre de colonnes−1) (ex tableau 2x2: Degré de liberté = (2−1) × (2−1) = 1)
34
quelles sont les conditions d'applications de la loi de X2 de pearson? 1. pour une table 2x2 2. pour une table >2x2
1. chaque cellule a une valeur attendue >5 2. 80% des cellules ont une valeur attendue >5
35
pourquoi si les conditions d'applications de X2 ne sont pas respectées le test est-il invalide?
diviser par un petit E surestime la statistique de X2 et sous-estime la valeur de P
36
quelles sont les étapes de réalisation du test de X2 de pearson? (
1. établir H0 et HA 2. collecter les données 3. effectuer le test X2 4. comparer P à 𝛼
37
donnez 3 manières de récolter des données pour un test de X2. (pour une table 2x2)
1. On prend « n » individus (aléatoire) dans une population, et on mesure deux variables 2. On prend plusieurs échantillons (ex: 100 jeunes et 100 vieux) puis on mesure une deuxième variable 3. On randomise « n » individus dans chaque groupe de traitement, puis on mesure l’autre variable (ex: la guérison)
38
quelles sont les 6 étapes de réalisation du test X2?
1. table de contingence 2. calcul fréquences attendues (/cellule) 3. vérifier aucune fréquence <5 4. calcul (O−E)^2 /E pour les cellules 5. calcul 𝑋2 (somme des valeurs étape 4) 6. On trouve valeur de P (table de X2)
39
pour cette mise en situation, établissez H0 et HA: la présence de l’acteur Adam Sandler (oui ou non) vs. la qualité du film (bon ou mauvais)
H0: La présence de l’acteur est indépendante de la qualité du film HA: La présence de l’acteur est associée à la qualité du film
40
comment a t-on obtenue la valeur en orange sur cette table de contingence? (valeur attendue E)
à partir de la formule (ici: E(Bon×Adam) = 20 × 50/100 = 10)
41
V ou F: il est BEAUCOUP plus difficile de «trouver» des différences significatives avec des variables quantitatives (vs. qualitatives)
F: c'est l'inverse!! (attention!: différences qui semblent importantes (« au pif ») en regardant la table de contingence sont souvent dues au hasard)
42
à partir de ces données réalisez la table de contingence complète!! (sur une feuille): 1. deux groupes de n=30 individus chaques pour traitement vs placebo. 2. on ajoute une variable: mort vs survie 3. n mort dans groupe tx = 12 4. n mort dans groupe placebo = 19
(si vous comprenez pas besoin de lire, sinon les explications sont là par étape)
43
à partir de cette table de contingence, trouvez la valeur de X2
X2= 3,26
44
important: la valeur de P obtenue avec le test X2 ne nous dit pas si l'association est ______ ni si elle est ______
importante, causale (avec un « n » assez grand, on pourrait trouver que tx est associé à survie alors que différence réelle est minime)
45
pour comparer des moyennes de séries appariées, on peut utiliser le paired t test. qu'est ce qu'on prends pour comparer les PROPORTIONS de séries appariées.
test de 𝑿𝟐 de McNemar
46
lorsqu'on compare des proportions de séries appariées, à quoi s'interesse-t-on spécifiquement?
aux paires discordantes (différences entres les paires)
47
établissez H0 et HA pour un test X2 de Mcnemar
H0: P1 = P2 (c.-à-d. les proportions ne sont pas différentes) HA: P1 ≠ P2 (c.-à-d. les proportions sont différentes)
48
si H0 est vrai, le nombre de paires (non/oui) est _____ au nombre de paire (oui/non)
égal
49
quelles sont les fréquences attendues pour b et c?
je m’attends à ce que exactement la ½ des paires discordantes soient en b et l’autre en c
50
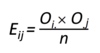
que signifie cette formule?
E: 1/2 des paires discordantes b: scénario 1 discordant (image) c: scénario 2 discordant (image)
51
quelle est cette formule?
52
quelle est la condition d'application du test de 𝑿𝟐 de McNemar?
b + c ≥ 10
53
V ou F: on peut utiliser l'approche par IC pour comparer les proportions de séries appariées (même principe que pour comparer les moyennes de séries appariées)
V
54
allez faires les exercices