stat.module8-complet Flashcards

(32 cards)

1
Q

V ou F: On ne peut pas utiliser le test t de student pour comparer 3 moyennes, mais pour 3 proportions, on peut utiliser le test X2 de pearson

A

V

(Tests de t sont limités à 2 moyennes)

How well did you know this?
1
Not at all
2
3
4
5
Perfectly
2
Q

associez 1-2 à a-b
1. variable dépendante quantitative
2.variable dépendante qualitation

a.comparaison 3 proportions
b.comparaisons 3 moyennes

A

1.b
2.a

How well did you know this?
1
Not at all
2
3
4
5
Perfectly
3
Q

pourquoi ne peut on pas utiliser le test t de student pour comparer 3 moyennes?

A

car il ne permet que de déterminer si 𝜇1 = 𝜇2
alors qu’on cherche si 𝜇1 = 𝜇2 = 𝜇3= … = 𝜇i

How well did you know this?
1
Not at all
2
3
4
5
Perfectly
4
Q

quelles sont les deux raisons pour lesquelles on ne compare pas les moyennes 2 par 2 avec un test t de student? (ex: 3 moyennes, faire 3 test 2 par 2)

A
  1. fastidieux (image)
  2. problème de comparaisons multiples
How well did you know this?
1
Not at all
2
3
4
5
Perfectly
5
Q

expliquez le problème de comparaisons multiples simplement

A

Multiplier le nombre de tests ↑ la chance de découvrir une fausse différence
(↑ risque d’erreur 𝛼)

How well did you know this?
1
Not at all
2
3
4
5
Perfectly
6
Q

quelle est cette formule?

A

le risque d’erreur 𝛼 pour l’ensemble des comparaisons

(c= nb de comparaisons)

How well did you know this?
1
Not at all
2
3
4
5
Perfectly
7
Q

quel test utilise-t-on pour comparer >2 moyennes

A

ANOVA

(ANalysis Of VAriance)

How well did you know this?
1
Not at all
2
3
4
5
Perfectly
8
Q

de quel type de test est l’ANOVA?

A

test englobant en une seule fois toutes les données,
ici : analyse de variance à un critère

How well did you know this?
1
Not at all
2
3
4
5
Perfectly
9
Q

de quel type les variables doivent elles être pour utiliser le test ANOVA?

A
  1. variable dépendante= quantitative
  2. variable indépendante= qualitative (nominale ou ordinale (ex: tx A vs B vs C)
How well did you know this?
1
Not at all
2
3
4
5
Perfectly
10
Q

établissez H0 et HA pour un test ANOVA

A

H0: 𝜇1 = 𝜇2 = 𝜇3= … = 𝝁i
HA: au moins 2 de ces populations ont des moyennes différentes

How well did you know this?
1
Not at all
2
3
4
5
Perfectly
11
Q

puisque le test ANOVA ne permet pas déterminer lesquelles des moyennes sont différentes (comme X2), que faut-il faire?

A

des test supplémentaires

-> pas dans ce cours!! 👍

How well did you know this?
1
Not at all
2
3
4
5
Perfectly
12
Q

quelles sont conditions d’application du test ANOVA? (5)

A
  1. variable analysée QUANTITATIVE
  2. c échantillons choisis ALÉATOIREMENT
  3. observations INDÉPENDANTES
  4. distribution NORMALE
  5. HOMOSCÉDASTICITÉ
How well did you know this?
1
Not at all
2
3
4
5
Perfectly
13
Q

qu’est ce que l’homoscédasticité?

A

façon compliquée de dire que les variances sont égales

(homogénéité des variances)

How well did you know this?
1
Not at all
2
3
4
5
Perfectly
14
Q

nommez le test qu’on effectueras pour vérifier l’homoscédasticité?

A

test de levene

How well did you know this?
1
Not at all
2
3
4
5
Perfectly
15
Q

V OU F: le résultat d’un test de t de Student pour 2 moyennes = résultat d’une analyse de variance à un critère (ANOVA)

A

v

How well did you know this?
1
Not at all
2
3
4
5
Perfectly
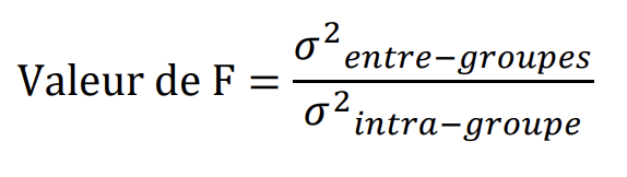
16
Q

lors du test ANOVA, on sépare la variance totale de la variable dépendant en deux parties, qu’on compare ensuite. quelles sont ces deux parties?

A
  1. la variance entre les groupe
  2. la variance à l’intérieur des groupes
17
Q

à quoi cette équation devrait-elle etre égale selon H0?

A

1

(H0 suppose que 𝜇1 = 𝜇2= 𝜇3= … = 𝜇𝑖)

18
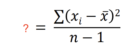
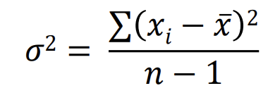
Q

c’est la formule de quoi?

A

de la variance

(Somme des différences^2 entre chaque observation et la moyenne générale, divisé par n-1)

19
Q

replacez
a. variation entre-groupes
b. variation totale
c. variation intragroupe

20
Q

expliquez la nomenclature de la variance totale pour une variable avec 3 groupes

A
  1. valeur mesurée
  2. groupe
  3. sujet

(honnêtement je comprends pas ça assez pour l’expliquer, jsp si c’Est important non plus)

21
Q

cette formule correspond à la variance entre groupe ou intra-groupe?

22
Q

cette formule correspond à la variance entre groupe ou intra-groupe?

23
Q

remplissez le tableau avec 1,2,3 (dénominateurs des formules)

24
Q

à quel test correspond cette formule

25
pour le test ANOVA, on a deux degrés de liberté! (pour le nominateur et le dénominateur du calcul de F) quels sont-ils?
ddl1 (nominateur, entre groupe)= c-1 ddl2 (dénominateur, intragroupe)= n-c
26
comment utilise-t-on ce tableau?
permet de calculer le F pour un 𝛼=0,05, (si le F calculé avec les variances intra et entre groupe est plus grand que celui pour 0,05-> rejet H0)
27
quelles sont les 4 étapes (de calcul) du test ANOVA?
1. calcul de la variance entre groupe 2. calcul de la variance intergroupe 3. calcul de la valeur de F 4. déterminer F pour ddl1 et ddl2 (on rejette H0 si valeur de F calculée > valeur de F pour α = 0.05 )
28
exemple1: est-ce que le poids des agneaux de 3 semaines varie en fonction de l’âge des brebis (1, 2, >2 ans)? 1. quelle est la variable dépendante vs indépendante?
1. dépendante (quantitative): poids 2. indépendante (qualitative ordinale): âge
29
exemple1: est-ce que le poids des agneaux de 3 semaines varie en fonction de l’âge des brebis (1, 2, >2 ans)? 2.formulez H0 vs HA
H0: 𝜇1𝑎𝑛 = 𝜇2𝑎𝑛s= 𝜇>2ans HA : au moins 2 moyennes sont différentes
30
exemple1: est-ce que le poids des agneaux de 3 semaines varie en fonction de l’âge des brebis (1, 2, >2 ans)? 3. est ce qu'on répond aux conditions d'application?
oui, 1. variable analysée QUANTITATIVE 2. c échantillons choisis ALÉATOIREMENT 3. observations INDÉPENDANTES 4. distribution NORMALE 5. HOMOSCÉDASTICITÉ
31
exemple1: est-ce que le poids des agneaux de 3 semaines varie en fonction de l’âge des brebis (1, 2, >2 ans)? 4. on a calculé F=12,8 (voir image), et le F pour nos degrés de liberté est entre 3,23 et 3,32. que concluez vous?
on rejette H0 -> au moins 2 moyennes différentes (vous pouvez essayer le calcul par vous même avec les données dans l'image ici)
32
allez faire les exercices!!