list 1 Flashcards

(3 cards)

1
Q

Alder ene reaction

Alder烯反应

A

烯丙基与双键化合物生成加合物

How well did you know this?
1
Not at all
2
3
4
5
Perfectly
2
Q

Aldol condensation

羟醛缩合反应

A

α-氢醛酮与另一醛酮碱性脱水缩合成烯酮

How well did you know this?
1
Not at all
2
3
4
5
Perfectly
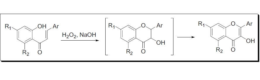
3
Q

Algar-Flynn-Oyamada Reaction

A

2’-羟基查耳酮碱性过氧化生成黄酮醇

How well did you know this?
1
Not at all
2
3
4
5
Perfectly