list 18 Flashcards

(3 cards)

1
Q

Chichibabin pyridine synthesis

A

α-氢醛与胺缩合成吡啶

How well did you know this?
1
Not at all
2
3
4
5
Perfectly
2
Q

Chugaev elimination

A

β-氢醇通过黄原酸酯热消除成烯烃

How well did you know this?
1
Not at all
2
3
4
5
Perfectly
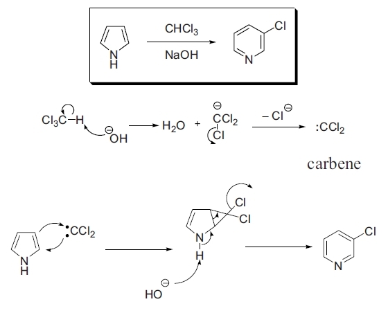
3
Q

Ciamician–Dennsted rearrangement

A

吡咯用氯仿和氢氧化钠产生的二氯卡宾生成3-氯吡啶

How well did you know this?
1
Not at all
2
3
4
5
Perfectly