list 5 Flashcards

(3 cards)

1
Q

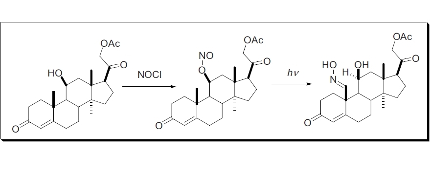
Barton nitrite photolysis

Barton亚硝酸酯光解反应

A

亚硝酸酯光解成γ-肟醇

How well did you know this?
1
Not at all
2
3
4
5
Perfectly
2
Q

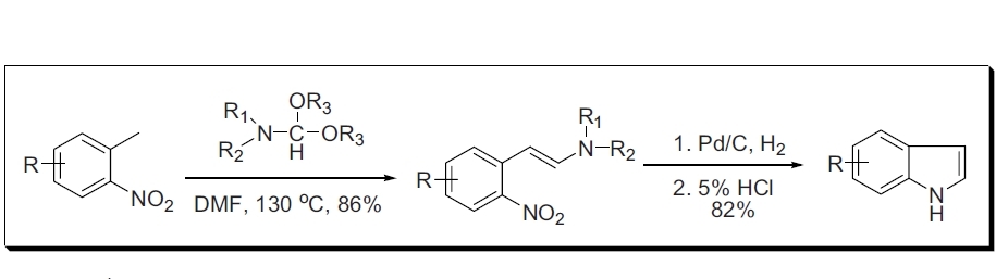
Batcho-Leimgruber indole synthesis

A

邻硝基甲苯与二甲酰胺缩醛催化加氢生成吲哚

How well did you know this?
1
Not at all
2
3
4
5
Perfectly
3
Q

Baylis-Hillman reaction

A

缺电烯烃与醛酮在叔胺催化下生成加合物

How well did you know this?
1
Not at all
2
3
4
5
Perfectly