list 8 Flashcards

(3 cards)

1
Q

Birch reduction

A

芳环在液氨和醇中用碱金属还原成非共轭环已二烯

How well did you know this?
1
Not at all
2
3
4
5
Perfectly
2
Q

Bischler–Möhlau indole synthesis

A

α-卤代芳酮和过量苯胺环化成3-芳基吲哚

How well did you know this?
1
Not at all
2
3
4
5
Perfectly
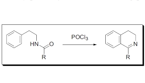
3
Q

Bischler–Napieralski reaction

A

苯乙胺通过酰胺在氧氯化磷作用下生成二氢异喹啉

How well did you know this?
1
Not at all
2
3
4
5
Perfectly