list 20 Flashcards

(3 cards)

1
Q

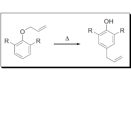
para-Claisen rearrangement

A

邻位全被占据时的Claisen重排

How well did you know this?
1
Not at all
2
3
4
5
Perfectly
2
Q

Abnormal Claisen rearrangement

A

β-C接邻位双键后移的Claisen重排

How well did you know this?
1
Not at all
2
3
4
5
Perfectly
3
Q

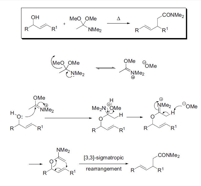
Eschenmoser–Claisen amide acetal rearrangement

A

DMA的缩酮与烯丙醇发生[3,3]-σ重排生成γ,δ-不饱和酰胺

How well did you know this?
1
Not at all
2
3
4
5
Perfectly