list 74 Flashcards

(3 cards)

1
Q

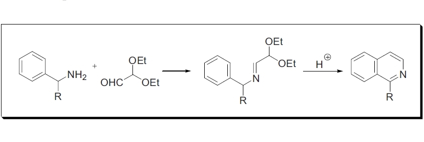
Schlittler–Müller modification

A

Pomeranz–Fritsch反应中两个底物的氨基和醛基简单地予以交换的反应

How well did you know this?
1
Not at all
2
3
4
5
Perfectly
2
Q

Prévost trans-dihydroxylation

A

烯烃与碘单质和苯甲酸银生成反式二醇

How well did you know this?
1
Not at all
2
3
4
5
Perfectly
3
Q

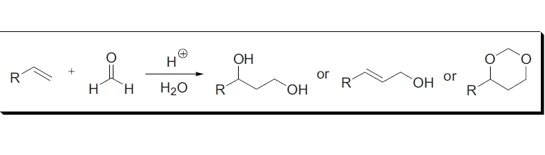
Prins reaction

A

烯烃与醛基在酸催化下生成二醇,烯醇或缩醛等产物

How well did you know this?
1
Not at all
2
3
4
5
Perfectly