list 87 Flashcards

(3 cards)

1
Q

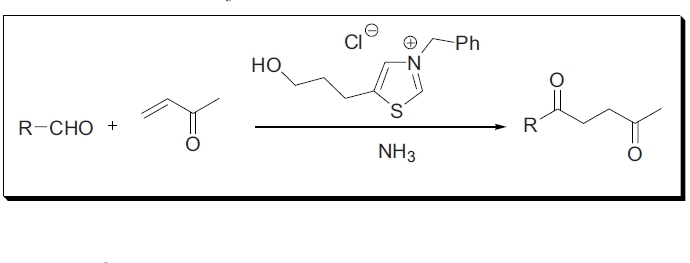
Stetter reaction

A

醛和α,β-不饱和酮或酯在噻唑催化下生成1,4-二羰基化合物

How well did you know this?
1
Not at all
2
3
4
5
Perfectly
2
Q

Still–Gennari phosphonate reaction

磷酸酯反应

A

双-三氟乙基磷酸酯强碱处理后与醛反应生成Z-烯烃

How well did you know this?
1
Not at all
2
3
4
5
Perfectly
3
Q

Stille coupling

A

卤烃或三氟磺酸酯等和有机锡化物在钯催化下偶联

How well did you know this?
1
Not at all
2
3
4
5
Perfectly