list 75 Flashcards

(3 cards)

1
Q

Pschorr cyclization

A

分子内的Gomberg−Bachmann反应

How well did you know this?
1
Not at all
2
3
4
5
Perfectly
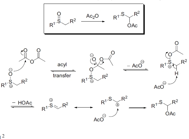
2
Q

Pummerer rearrangement

A

α-氢亚砜与乙酸酐转化为α-酰氧基硫醚

How well did you know this?
1
Not at all
2
3
4
5
Perfectly
3
Q

Ramberg–Bäcklund reaction

A

α-卤代砜在强碱存在下挤出二氧化硫生成烯烃

How well did you know this?
1
Not at all
2
3
4
5
Perfectly