list 32 Flashcards

(3 cards)

1
Q

Erlenmeyer−Plöchl azlactone synthesis

Erlenmeyer−Plöchl 噁唑酮合成反应

A

酰胺基乙酸在乙酸酐存在下缩合成5-噁唑酮

How well did you know this?
1
Not at all
2
3
4
5
Perfectly
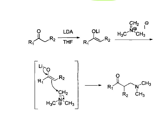
2
Q

Eschenmoser’s salt

A

一种很强的二甲氨基甲基化试剂(二甲基亚甲基碘化铵))

How well did you know this?
1
Not at all
2
3
4
5
Perfectly
3
Q

Eschenmoser−Tanabe fragmentation

碎片化反应

A

α,β-环烯酮先环氧化再与磺酰肼反应生成炔酮

How well did you know this?
1
Not at all
2
3
4
5
Perfectly