list 92 Flashcards

(3 cards)

1
Q

van Leusen oxazole synthesis

噁唑合成

A

异氰酸对甲苯磺酸甲基酯(TosMIC,亦称van Leusen试剂)和醛生成5-取代噁唑

How well did you know this?
1
Not at all
2
3
4
5
Perfectly
2
Q

Vilsmeier−Haack reaction

A

富电子芳烃与DMF和三氯氧膦生成的氯代亚胺盐(Vilsmeier-Haack)反应并最终生成芳醛

How well did you know this?
1
Not at all
2
3
4
5
Perfectly
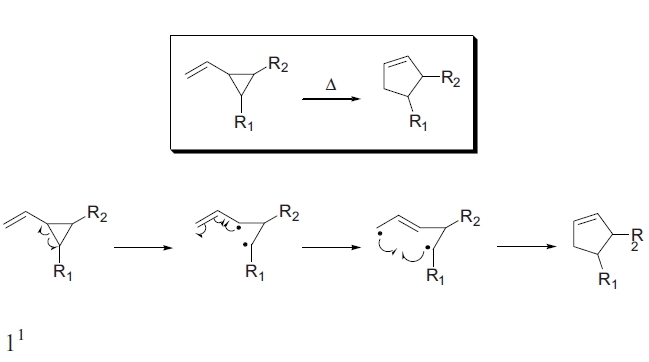
3
Q

Vinylcyclopropane−cyclopentene rearrangement

烯基环丙烷-环戊烯重排

A

烯基环丙烷经双自由基过程重排为环戊烯

How well did you know this?
1
Not at all
2
3
4
5
Perfectly