list 80 Flashcards

(3 cards)

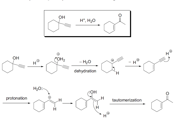
1
Q

Rupe rearrangement

A

α-端基炔醇在酸存在下重排为α,β-不饱和酮

How well did you know this?
1
Not at all
2
3
4
5
Perfectly
2
Q

Saegusa oxidation

A

烯醇硅烷在二价钯催化下生成烯酮

How well did you know this?
1
Not at all
2
3
4
5
Perfectly
3
Q

Sakurai allylation reaction

烯丙基化反应

A

碳亲核物种与烯丙基硅烷反应后生成烯丙基产物

How well did you know this?
1
Not at all
2
3
4
5
Perfectly