list 64 Flashcards

(3 cards)

1
Q

Negishi cross-coupling reaction

A

卤代烃与有机锌化合物在镍或钯催化下发生偶联反应

How well did you know this?
1
Not at all
2
3
4
5
Perfectly
2
Q

Nenitzescu indole synthesis

A

对苯醌和β-氨基丙烯酸酯合成5-羟基吲哚

How well did you know this?
1
Not at all
2
3
4
5
Perfectly
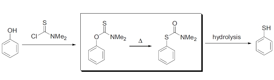
3
Q

Newman−Kwart rearrangement

A

酚与硫羰基化合物重排成硫酚

How well did you know this?
1
Not at all
2
3
4
5
Perfectly