list 48 Flashcards

(3 cards)

1
Q

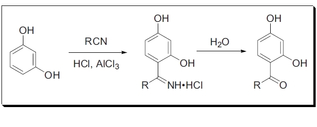
Houben−Hoesch reaction

A

酚或酚醚在Lewis酸存在下与腈生成酰基酚或酰基酚醚

How well did you know this?
1
Not at all
2
3
4
5
Perfectly
2
Q

Hunsdiecker−Borodin reaction

A

羧酸银盐与卤素加热脱羧生成卤代烃

How well did you know this?
1
Not at all
2
3
4
5
Perfectly
3
Q

Jacobsen–Katsuki epoxidation

A

Z-烯烃在Mn(III)-salen催化下发生不对称环氧化反应

How well did you know this?
1
Not at all
2
3
4
5
Perfectly