list 41 Flashcards

(3 cards)

1
Q

Glaser coupling

A

端炔在氧氛中由亚铜盐催化偶联

How well did you know this?
1
Not at all
2
3
4
5
Perfectly
2
Q

Eglinton coupling

A

端炔在氧氛中由二醋酸铜催化偶联

How well did you know this?
1
Not at all
2
3
4
5
Perfectly
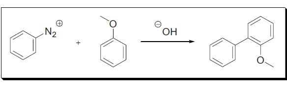
3
Q

Gomberg–Bachmann reaction

A

芳香重氮盐与芳烃的碱性自由基偶联反应

How well did you know this?
1
Not at all
2
3
4
5
Perfectly