list 63 Flashcards

(3 cards)

1
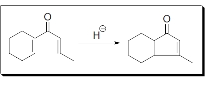
Q

Nazarov cyclization

A

二烯基酮在酸催化下经电环化生成环戊烯酮

How well did you know this?
1
Not at all
2
3
4
5
Perfectly
2
Q

Neber rearrangement

A

磺酰基酮肟与强碱生成α-氨基酮(实际上是酮经肟转化为α-氨基酮)

How well did you know this?
1
Not at all
2
3
4
5
Perfectly
3
Q

Nef reaction

A

伯仲硝基烷烃先碱后酸生成相应的羰基化合物

How well did you know this?
1
Not at all
2
3
4
5
Perfectly